The citric acid cycle
المؤلف:
Peter Atkins، Julio de Paula
المصدر:
ATKINS PHYSICAL CHEMISTRY
الجزء والصفحة:
ص226-227
2025-11-18
63
The citric acid cycle
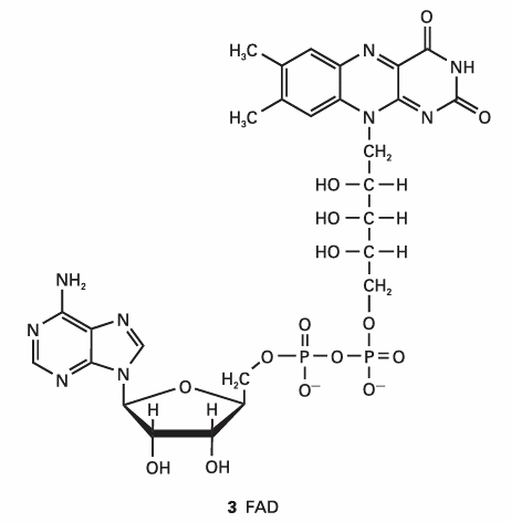
The standard Gibbs energy of combustion of glucose is −2880 kJ mol−1, so terminating its oxidation at pyruvate is a poor use of resources. In the presence of O2, pyruvate is oxidized further during the citric acid cycle and oxidative phosphorylation, which occur in a special compartment of the cell called the mitochondrion. The citric acid cycle requires eight enzymes that couple the synthesis of ATP to the oxidation of pyruvate by NAD+ and flavin adenine dinucleotide (FAD, 3):
2 CH3COCO2 −(aq) + 8 NAD+(aq) +2FAD (aq) + 2ADP (aq) + 2 Pi(aq) + 8 H2O(l) →6CO2(g)+8 NADH (aq) +4 H3O+(aq) +2 FADH2(aq)+2 ATP (aq)
The NADH and FADH2go on to reduce O2 during oxidative phosphorylation, which also produces ATP. The citric acid cycle and oxidative phosphorylation generate as many as 38 ATP molecules for each glucose molecule consumed. Each mole of ATP molecules extracts 31 kJ from the 2880 kJ supplied by 1 mol C6H12O6 (180 g of glucose), so 1178 kJ is stored for later use. Therefore, aerobic oxidation of glucose is much more efficient than glycolysis.

In the cell, each ATP molecule can be used to drive an endergonic reaction for which ∆rG⊕ does not exceed +31 kJ mol−1. For example, the biosynthesis of sucrose from glucose and fructose can be driven by plant enzymes because the reaction is endergonic to the extent ∆rG⊕ =+23 kJ mol−1. The biosynthesis of proteins is strongly endergonic, not only on account of the enthalpy change but also on account of the large decrease in entropy that occurs when many amino acids are assembled into a precisely determined sequence. For instance, the formation of a peptide link is endergonic, with ∆rG⊕ =+17 kJ mol−1, but the biosynthesis occurs indirectly and is equivalent to the consumption of three ATP molecules for each link. In a moderately small protein like myoglobin, with about 150 peptide links, the construction alone requires 450 ATP molecules, and therefore about 12 mol of glucose molecules for 1 mol of protein molecules.
الاكثر قراءة في مواضيع عامة في الكيمياء الفيزيائية
اخر الاخبار
اخبار العتبة العباسية المقدسة