The electrochemical series
المؤلف:
Peter Atkins، Julio de Paula
المصدر:
ATKINS PHYSICAL CHEMISTRY
الجزء والصفحة:
ص224-226
2025-11-18
55
The electrochemical series
We have seen that for two redox couples, Ox1/Red1and Ox2/Red2, and the cell.
Red1, Ox1||Red2, Ox2 Eo=E2o−E1o
that the cell reaction
Red1+Ox2→Ox1+Red2
is spontaneous as written if Eo>0, and therefore if E2o > E1o. Because in the cell reaction Red1reduces Ox2, we can conclude that Red1has a thermodynamic tendency to reduce Ox2 if E1o< E2o , More briefly: low reduces high.

Table 7.3 shows a part of the electrochemical series, the metallic elements (and hydrogen) arranged in the order of their reducing power as measured by their stand ard potentials in aqueous solution. A metal low in the series (with a lower standard potential) can reduce the ions of metals with higher standard potentials. This conclusion is qualitative. The quantitative value of Kis obtained by doing the calculations we have described previously. For example, to determine whether zinc can displace magnesium from aqueous solutions at 298 K, we note that zinc lies above magnesium in the electrochemical series, so zinc cannot reduce magnesium ions in aqueous solution. Zinc can reduce hydrogen ions, because hydrogen lies higher in the series. However, even for reactions that are thermodynamically favourable, there may be kinetic factors that result in very slow rates of reaction. The reactions of the electron transport chains of respiration are good applications of this principle.
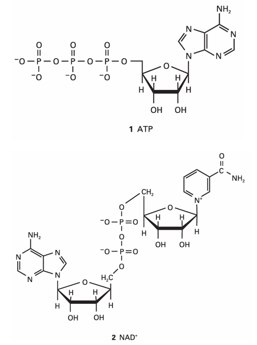
The whole of life’s activities depends on the coupling of exergonic and endergonic re actions, for the oxidation of food drives other reactions forward. In biological cells, the energy released by the oxidation of foods is stored in adenosine triphosphate (ATP, 1). The essence of the action of ATP is its ability to lose its terminal phosphate group by hydrolysis and to form adenosine diphosphate (ADP):
ATP (aq) +H2O(l)→ADP (aq)+Pi−(aq) +H3O+(aq)
where Pi − denotes an inorganic phosphate group, such as H2PO4 −. The biological stand ard values for ATP hydrolysis at 37°C (310 K, blood temperature) are ∆rG⊕=−31 kJ mol−1, ∆rH⊕ =−20 kJ mol−1, and ∆rS⊕ =+34 J K−1 mol−1. The hydrolysis is therefore exergonic (∆rG⊕ < 0) under these conditions and 31 kJ mol−1 is available for driving other reactions. Moreover, because the reaction entropy is large, the reaction Gibbs energy is sensitive to temperature. In view of its exergonicity the ADP-phosphate bond has been called a ‘high-energy phosphate bond’. The name is intended to signify a high tendency to undergo reaction, and should not be confused with ‘strong’ bond. In fact, even in the biological sense it is not of very ‘high energy’. The action of ATP depends on it being intermediate in activity. Thus ATP acts as a phosphate donor to a number of acceptors (for example, glucose), but is recharged by more powerful phosphate donors in a number of biochemical processes. We now use the oxidation of glucose to CO2 and H2O by O2 as an example of how the breakdown of foods is coupled to the formation of ATP in the cell. The process begins with glycolysis, a partial oxidation of glucose by nicotinamide adenine dinucleotide (NAD+, 2) to pyruvate ion, CH3COCO2−, continues with the citric acid cycle, which oxidizes pyruvate to CO2, and ends with oxidative phosphorylation, which reduces O2 to H2O. Glycolysis is the main source of energy during anaerobic metabolism, a form of metabolism in which inhaled O2 does not play a role. The citric acid cycle and oxidative phosphorylation are the main mechanisms for the extraction of energy from carbohydrates during aerobic metabolism, a form of metabolism in which inhaled O2 does play a role.

الاكثر قراءة في مواضيع عامة في الكيمياء الفيزيائية
اخر الاخبار
اخبار العتبة العباسية المقدسة