

تاريخ الرياضيات

الاعداد و نظريتها

تاريخ التحليل

تار يخ الجبر

الهندسة و التبلوجي


الرياضيات في الحضارات المختلفة

العربية

اليونانية

البابلية

الصينية

المايا

المصرية

الهندية


الرياضيات المتقطعة

المنطق

اسس الرياضيات

فلسفة الرياضيات

مواضيع عامة في المنطق


الجبر

الجبر الخطي

الجبر المجرد

الجبر البولياني

مواضيع عامة في الجبر

الضبابية

نظرية المجموعات

نظرية الزمر

نظرية الحلقات والحقول

نظرية الاعداد

نظرية الفئات

حساب المتجهات

المتتاليات-المتسلسلات

المصفوفات و نظريتها

المثلثات


الهندسة

الهندسة المستوية

الهندسة غير المستوية

مواضيع عامة في الهندسة

التفاضل و التكامل


المعادلات التفاضلية و التكاملية

معادلات تفاضلية

معادلات تكاملية

مواضيع عامة في المعادلات


التحليل

التحليل العددي

التحليل العقدي

التحليل الدالي

مواضيع عامة في التحليل

التحليل الحقيقي

التبلوجيا

نظرية الالعاب

الاحتمالات و الاحصاء

نظرية التحكم

بحوث العمليات

نظرية الكم

الشفرات

الرياضيات التطبيقية

نظريات ومبرهنات


علماء الرياضيات

500AD

500-1499

1000to1499

1500to1599

1600to1649

1650to1699

1700to1749

1750to1779

1780to1799

1800to1819

1820to1829

1830to1839

1840to1849

1850to1859

1860to1864

1865to1869

1870to1874

1875to1879

1880to1884

1885to1889

1890to1894

1895to1899

1900to1904

1905to1909

1910to1914

1915to1919

1920to1924

1925to1929

1930to1939

1940to the present

علماء الرياضيات

الرياضيات في العلوم الاخرى

بحوث و اطاريح جامعية

هل تعلم

طرائق التدريس

الرياضيات العامة

نظرية البيان
فضاء الضرب الداخلي-الأساسات المتعامدة طريقة كرام ــ شمت
المؤلف:
علي جاسم التميمي
المصدر:
مقدمة في الجبر الخطي
الجزء والصفحة:
323-335
17-3-2016
26920
الأساسات المتعامدة طريقة كرام ــ شمت:
اختيار الأساس ضروري في معظم فضاءات الضرب الداخلي حيث نختار الأساس الذي جميع متجهاته متعامدة مع بعضها على العكس من فضاءات المتجهات الأخرى حيث أن معظم التمارين لا تتقيد بأساس معين. سنركز اهتمامنا في هذا البند على كيفية الحصول على الأساسات المتعامدة.
تعريف (1-1):
مجموعة متجهات فضاء الضرب الداخلي يقال لها مجموعة متعامدة إذا كانت متجهاتها متعامدة مثنى ــ مثنى، ومجموعة المتجهات المتعامدة يقال لها عارية إذا كان طول كل متجه فيها يساوي.1
مثال (1)
متجهات الاساس الطبيعية
متعامدة لأن .
إضافة لذلك فهي عيارية لأن طول كل منها يساوي 1.
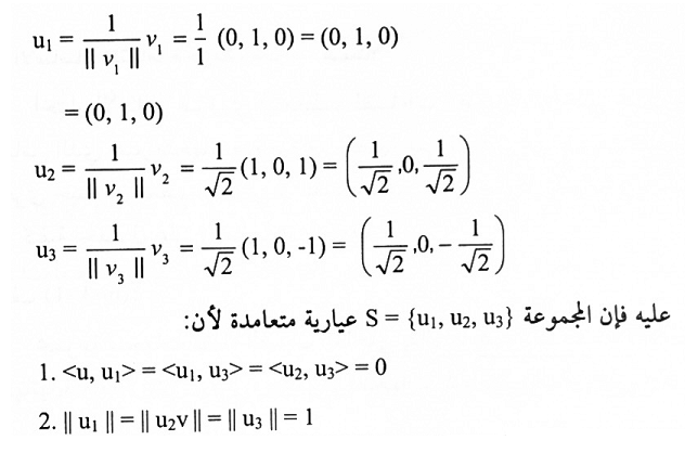
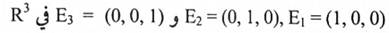
مثال(2) لتكن
في R3 المعرف عليه الضرب الداخلي الاقليدي.
لاحظ أن 
وبنفس الطريقة 
إذن {v1, v2, v3} مجموعة متعامدة.
والآن نجد أطوال المتجهات v3, v2, v1:

ثم نحول كل متجه للشكل المعياري من خلال ضربة بمقلوب طوله لنحصل على :

ملاحظة: في فضاء الضرب الداخلي ، الأساس الذي جميع متجهاته عيارية يسمى الاساس العياري.
أما الأساس الذي جميع متجهاته متعامدة يسمى الأساس المتعامد.
مبرهنة (1-2):
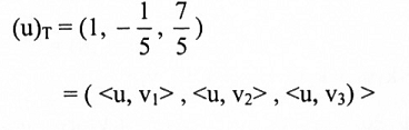
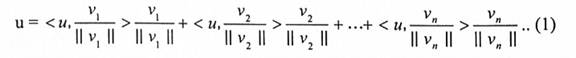
لتكن {v1, v2, …., vn} T = أساس عاري لفضاء الضرب الداخلي V، و u أي متجه في V، فإن: 
البرهان:
بما أن T اساس V فإن:

حيث Kn, … , k2,k1 ثوابت
عليه:

ملاحظة:
الكميات الثابتة
تسمى إحداثيات u نسبة للأساس العياري T وتكتب:

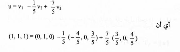
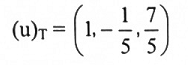
مثال(3):
ليكن {v1, v2, v3} T = أساس عياري للفضاء R" المعرف عليه ضرب داخلي إقليدي. نفرض أن
عبر عن u = (1,1,1) بشكل تركيب خطي للمتجهات v2, v1 و v3 ثم اوجد (U)T.


لذا فإن مركبات الإحداثيات للمتجه u نسبة إلى T هي:

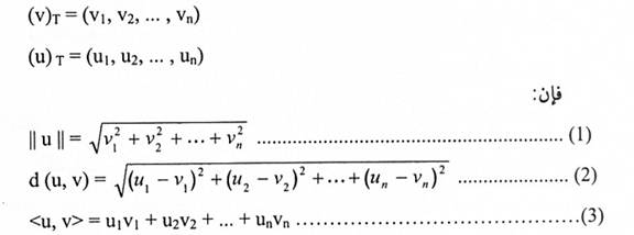
مبرهنة (1-3):
لتكن T اساس عياري لفضاء ضرب داخلي بعده n إذا كانت:

واضح أن الجانب الأيمن من (1) مبرهنة (6-3-3) يمثل طول (معيار) UT نسبة للضرب الداخلي الاقليدي للفضاء R". الجانب الايمن في (3) من نفس المبرهنة فيمثل الضرب الداخلي الاقليدي للمتجهات الإحداثية (U)T و (V)T. لذا عند التعامل مع الاساسات العيارية المتعامدة فإن حساب اطوال وحواصل الضرب الداخلي العامة يمكن اقتصارها على حساب أطوال وحواصل الضرب الداخلي الاقليدي للمتجهات الإحداثية.
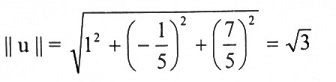
مثال(4):
نفرض Rn فضاء معرف عليه ضرب داخلي اقليدي فإن طول المتجه u = (1,1,1) هو:
وإذا كان الأساس العياري T هو كما في المثال(3)، فإن:

وعليه فإن طول u يمكن إيجاده كذلك من هذا المتجه باستخدام الجزء الاول من مبرهنة (1-3)، أي:

ملاحظة:
إذا كانت {v1, v2, …, vn} T = أساس متعامد لفضاء المتجهات V فإنه من الممكن تحويل كل متجه متعامد في T إلى متجه عياري متعامد من خلال قسمته على طوله. أي ان:

هو أساس عياري متعامد.
فإذا كان u اي متجه في الفضاء V فإنه بموجب مبرهنة (1-2) نستطيع كتابة u بالصيغة:

وبموجب خواص الطول [ (الزوايا والتعامد في فضاء الضرب الداخلي) ] فإن:
هو تركيب خطي للمتجه u بدلالة الأساس المتعامد T.
مبرهنة (1-4):
إذا كانت {v1, v2, … , vn} T = مجموعة متجهات متعامدة وغير صفرية في فضاء الضرب الداخلي، فإن T مستقلة خطياً.
البرهان:

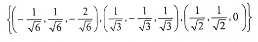
مثال(5):
من المثال (2). V1 = (0,1,0) ،
مجموعة عيارية نسبة للضرب الداخلي الاقليدي في R3. بما أن V1، V2 ، V3 مجموعة مستقلة خطياً وأن بعد R3 هو 3، فإن {v1, v2, v3} أساس عياري للفضاء R3.
المساقط المتعامدة:
إذا كانت w مستقيم(او مستوى) في R2 (أو R3) تمر خلال نقطة البداية (نقطة الأصل) و u متجه ما مرسوم في الفضاء R2 (أو الفضاء R3) [لاحظ الشكل (1-1) ]، فإن:
u=w1+w2
حيث W1 و W2 عمود على w1.W يسمى مسقط u على العمود W ويرمز له WL. peojwu تسمى مركبة u العمودية على W ويرمز لها u proj w1.

شكل (1-1)
عليه فإن:

[لاحظ الشكل (1-2) ]

شكل(1-2)
مبرهنة (1-5):
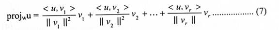
ليكن W فضاء جزئي ذات بعد منتهي في فضاء الضرب الداخلي W. فإن
(1) إذا كان {v1, v2, …, v2} أساس عياري للفضاء الجزئي u, w متجه لا على التعين في V فإن:
(2) إذا كان {v1, v2, …, v2} أساس متعامد للفضاء الجزئي u, w متجه لا على التعين في V، فإن:

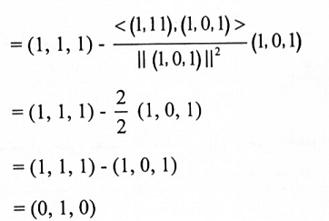
مثال(6):
ليكن w فضاء جزئي من R3 المعرف عليه الضرب الداخلي الاقليدي حيث w متولد من المتجهات العيارية v1 = (0,1,0) و 
من العلاقة (5) المسقط العمودي للمتجه u = (1,1,1) على w هو:

لاحظ أن projw u عمود على كل متجه في W لأنه عمود على v1 و v2 المولدة للفضاء W.
طريقة (كرام ــ شمت) لإيجاد الأساس العياري المتعامد لفضاء الضرب الداخلي V:
يمكن تلخيص هذه الطريقة بالخطوات الآتية:
1. نفرض أن {u1, u2, …, un} أي أساس الفضاء وليكن v1 = u1.
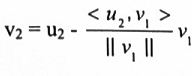
2. نجد v2 العمود على v1 من خلال إيجاد u2 العمود على الفضاء w1 المتولد من v1 وكالآتي: [الصيغة 7 ولاحظ الشكل 1-3].


شكل (1-3)
3. نجد v3 العمود على v1 و v2 من خلال إيجاد مركب u3 العمود على الفضاء w المتولد بواسطة v1 و v2 باستخدام الصيغة (7).
لاحظ الشكل (1-4):
شكل(1-4)
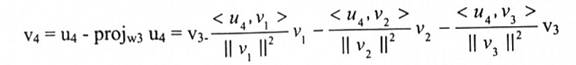
4. والآن نجد v4 العمود على كل من v1 وv2 و v3 بإيجاد مركب u4 العمود على W3 المتولد من v3, v2, v1 مستخدماً الصيغة (7).
وكما يلي:

5. بالاستمرار على نفس الاسلوب إلى n من الخطوات سنحصل على vn حيث:
العلاقة الواردة في الخطوة (5) أعلاه تسمى الصيغة العامة لإيجاد الاساسات المتعامدة.
وهكذا نحصل على مجموعة المتجهات المتعامدة {v1, v2, … , vn} والتي تحتوي على n من المتجهات.
بما أن بعد V هو n وإن أي مجموعة من المتجهات المتعامدة مستقلة خطياً فإن المجموعة {v1, v2, …, vn} هي الاساس المتعامد.
6. ثم نجد طول كل متجه في المجموعة {v1, v2, … , vn} والآتي:
.
عليه فإن {z1, z1, …, zn} هي مجموعة n من المتجهات العيارية المتعامدة وهي الاساس العياري المتعامد للفضاء V.
مثال(7):
أوجد الاساس العياري المتعامد للفضاء الجزئي W من R3 المتولد من u1 = (1,0,1) و u2 = (1,1,1).
باستخدام الطريقة أعلاه نفرض u1 = u1 = (1,0,1)
إذن:

عليه {(0,1,0) , (1,0,1)} هو الأساس المتعامد.
والآن نجد اطوال v2, v1 الآتي:

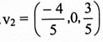
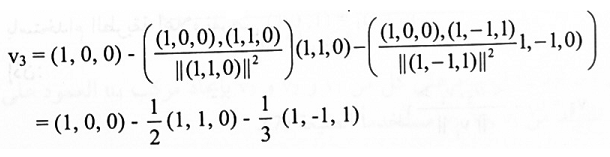
مثال(8): اوجد الاساس المعياري المتعامد للفضاء R3 إذا علمت ان الاساس الاعتيادي هو: {u3 = (1,0,0) , u2 = (1,1,0) , u1 = (1,-1,1)} بما أن u2 , u1 متعامدان نفرض أن v2 = (1,-1,1) , v1 = (1,1,0) ثم نجد v3 كالآتي:

والآن نجد طول كل من v3, v2, v1 وبقسمة كل منهما على طوله نحصل على الأساس العياري المتعامد

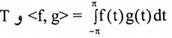
مثال(9):
نفرض v فضاء متجهات لدوال حقيقة مستمرة على .
مع الضرب الداخلي المعرف
معرفة بالشكل:
هل ان T أساس عياري.
الحل:
لاحظ أن T متعامدة لأن
لكن T ليست عيارية لأن:

الاكثر قراءة في الجبر الخطي
اخر الاخبار
اخبار العتبة العباسية المقدسة
الآخبار الصحية

قسم الشؤون الفكرية يصدر كتاباً يوثق تاريخ السدانة في العتبة العباسية المقدسة
"المهمة".. إصدار قصصي يوثّق القصص الفائزة في مسابقة فتوى الدفاع المقدسة للقصة القصيرة
(نوافذ).. إصدار أدبي يوثق القصص الفائزة في مسابقة الإمام العسكري (عليه السلام)