

تاريخ الرياضيات

الاعداد و نظريتها

تاريخ التحليل

تار يخ الجبر

الهندسة و التبلوجي


الرياضيات في الحضارات المختلفة

العربية

اليونانية

البابلية

الصينية

المايا

المصرية

الهندية


الرياضيات المتقطعة

المنطق

اسس الرياضيات

فلسفة الرياضيات

مواضيع عامة في المنطق


الجبر

الجبر الخطي

الجبر المجرد

الجبر البولياني

مواضيع عامة في الجبر

الضبابية

نظرية المجموعات

نظرية الزمر

نظرية الحلقات والحقول

نظرية الاعداد

نظرية الفئات

حساب المتجهات

المتتاليات-المتسلسلات

المصفوفات و نظريتها

المثلثات


الهندسة

الهندسة المستوية

الهندسة غير المستوية

مواضيع عامة في الهندسة

التفاضل و التكامل


المعادلات التفاضلية و التكاملية

معادلات تفاضلية

معادلات تكاملية

مواضيع عامة في المعادلات


التحليل

التحليل العددي

التحليل العقدي

التحليل الدالي

مواضيع عامة في التحليل

التحليل الحقيقي

التبلوجيا

نظرية الالعاب

الاحتمالات و الاحصاء

نظرية التحكم

بحوث العمليات

نظرية الكم

الشفرات

الرياضيات التطبيقية

نظريات ومبرهنات


علماء الرياضيات

500AD

500-1499

1000to1499

1500to1599

1600to1649

1650to1699

1700to1749

1750to1779

1780to1799

1800to1819

1820to1829

1830to1839

1840to1849

1850to1859

1860to1864

1865to1869

1870to1874

1875to1879

1880to1884

1885to1889

1890to1894

1895to1899

1900to1904

1905to1909

1910to1914

1915to1919

1920to1924

1925to1929

1930to1939

1940to the present

علماء الرياضيات

الرياضيات في العلوم الاخرى

بحوث و اطاريح جامعية

هل تعلم

طرائق التدريس

الرياضيات العامة

نظرية البيان
فضاء الضرب الداخلي-الضرب الداخلي
المؤلف:
علي جاسم التميمي
المصدر:
مقدمة في الجبر الخطي
الجزء والصفحة:
303-308
17-3-2016
43762
سبق وأن تطرقنا في المواضيع السابقة مفاهيم كثيرة كطول المتجه والزاوية المحصورة بين المتجهات في Rn باستخدام ضرب المتجهات النقطي. في هذا الفصل سندرس هذه المفاهيم في فضاء المتجهات وبشكل أكثر عمومية.
الضرب الداخلي
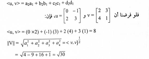
تعريف (1-1):
الضرب الداخلي على V هو دالة ترفق العدد الحقيقي <u,v> مع زوج من المتجهات v, u في V بطريقة بحيث تتحقق الشروط الآتية:

ملاحظة:
(1) فضاء المتجهات الحقيقي مع الضرب الداخلي يسمى فضاء الضرب الداخلي الحقيقي.
(2) إذا كانت v = (v1, v2, …. , vn) و u = u1, u2, … , un) متجهات في Rn فإن الصيغة:

تعرف الضرب الداخلي على Rn.
تعريف (1-2) :
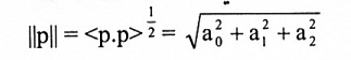
لتكن V فضاء الضرب الداخلي فإن طول المتجه u في V يعرف بالشكل:

أما المسافة بين المتجهين u,v ، تكتب d(v , u) ، فتعرف

وقابلة للانعكاس. فإذا كان u . v هو ضرب داخلي إقليدي على Rn فإن الصيغة:

تعرف الضرب الداخلي المسمى الضرب الداخلي على R" المتولد بواسطة A. يمكن كتابة الصيغة أعلاه بالشكل:

مثال(1):


من المعروف في الهندسة الاقليدية أن مجموع طولي ضلعين في مثلث أصغر أو تساوي طول الضلع الثالث كما وأن مجموع مربعات أقطار متوازي الأضلاع يساوي مجموع مربعات الجوانب الأربعة (لاحظ الشكل (1-1) ).

شكل (1-1)
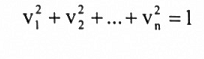
أما كرة الوحدة في هذا الفضاء فتعرف بأنها مجموعة جميع المصفوفات سعة 2 x 2 والتي عناصرها تحقق المعادلة ||V|| = 1، أي

مثال(2)

تمثل تعريف الضرب الداخلي على P2
أما طول متعددة الحدود نسبة لهذا الضرب الداخلي فيعرف

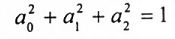
كرة الوحدة في هذا الفضاء تتكون من جميع متعددات الحدود p و p2 التي تحقق ||P|| = 1 او 
مثال(3):
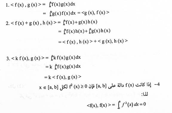
لتكن f(x) g(x) , دوال مستمرة على الفترة [a, b] فإن <f,g> المعرفة:

يمثل ضرب داخلي على [a, b].
لكي نبرهن أن <f(x),g(x)> ضرب داخلي يجب أن تحقق شروط التعريف (1-1):


لاحظ ان طول المنحني y = f(x) على الفترة [a, b] يختلف عن طول المتجه f(x) على [a, b] حيث أن طول المنحني هو

لذا فإن الصيغة (4) تختلف عن الصيغة (5).
مبرهنة (1-3):
(خواص فضاء الضرب الداخلي الحقيقي).
لتكن w, u, v ثلاث متجهات في فضاء الضرب الداخلي الحقيقي و k كمية ثابتة، فإن

البرهان:
نبرهن الحالة الثانية.

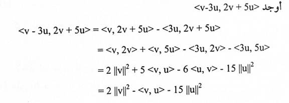
مثال(4):

الاكثر قراءة في الجبر الخطي
اخر الاخبار
اخبار العتبة العباسية المقدسة
الآخبار الصحية

قسم الشؤون الفكرية يصدر كتاباً يوثق تاريخ السدانة في العتبة العباسية المقدسة
"المهمة".. إصدار قصصي يوثّق القصص الفائزة في مسابقة فتوى الدفاع المقدسة للقصة القصيرة
(نوافذ).. إصدار أدبي يوثق القصص الفائزة في مسابقة الإمام العسكري (عليه السلام)