

تاريخ الرياضيات

الاعداد و نظريتها

تاريخ التحليل

تار يخ الجبر

الهندسة و التبلوجي


الرياضيات في الحضارات المختلفة

العربية

اليونانية

البابلية

الصينية

المايا

المصرية

الهندية


الرياضيات المتقطعة

المنطق

اسس الرياضيات

فلسفة الرياضيات

مواضيع عامة في المنطق


الجبر

الجبر الخطي

الجبر المجرد

الجبر البولياني

مواضيع عامة في الجبر

الضبابية

نظرية المجموعات

نظرية الزمر

نظرية الحلقات والحقول

نظرية الاعداد

نظرية الفئات

حساب المتجهات

المتتاليات-المتسلسلات

المصفوفات و نظريتها

المثلثات


الهندسة

الهندسة المستوية

الهندسة غير المستوية

مواضيع عامة في الهندسة

التفاضل و التكامل


المعادلات التفاضلية و التكاملية

معادلات تفاضلية

معادلات تكاملية

مواضيع عامة في المعادلات


التحليل

التحليل العددي

التحليل العقدي

التحليل الدالي

مواضيع عامة في التحليل

التحليل الحقيقي

التبلوجيا

نظرية الالعاب

الاحتمالات و الاحصاء

نظرية التحكم

بحوث العمليات

نظرية الكم

الشفرات

الرياضيات التطبيقية

نظريات ومبرهنات


علماء الرياضيات

500AD

500-1499

1000to1499

1500to1599

1600to1649

1650to1699

1700to1749

1750to1779

1780to1799

1800to1819

1820to1829

1830to1839

1840to1849

1850to1859

1860to1864

1865to1869

1870to1874

1875to1879

1880to1884

1885to1889

1890to1894

1895to1899

1900to1904

1905to1909

1910to1914

1915to1919

1920to1924

1925to1929

1930to1939

1940to the present

علماء الرياضيات

الرياضيات في العلوم الاخرى

بحوث و اطاريح جامعية

هل تعلم

طرائق التدريس

الرياضيات العامة

نظرية البيان
فضاء المتجهات العام-رتبة المصفوفات بعد الفضاء الصفري
المؤلف:
علي جاسم التميمي
المصدر:
مقدمة في الجبر الخطي
الجزء والصفحة:
285-297
20-3-2016
14269
رتبة المصفوفات بعد الفضاء الصفري:
في هذا البند سنركز اهتمامنا على العلاقات بين أبعاد فضاء الصفوف وفضاء الأعمدة والفضاء الصفري لمصفوفة ما ومنقولاتها للاستفادة منها في المواضيع القادمة.
تعريف(1-1):
لتكن A مصفوفة ما. البعد المشترك لفضاء الصفوف وفضاء الأعمدة يقال له رتبة A [يكتب بالرمز rank (A)]. اما بعد الفضاء الصفري للمصفوفة A فيسمى صفرية A [يرمز له nullity (A) ].
إذا كانت A مصفوفة و AT منقولتها فإننا نحصل على ست من فضاءات المتجهات وهي:
1. فضاء صفوف A
2. فضاء أعمدة A
3. الفضاء الصفري إلى A
4. فضاء صفوف AT.
5. فضاء AT الصفري.
وبما أن منقولة المصفوفة A تحول متجهات صفوف A إلى متجهات أعمدتها ومتجهات أعمدتها إلى متجهات صفوفها فإن فضاء صفوف AT هو نفسه فضاء أعمدة A وفضاء أعمدة AT هو نفسه فضاء صفوف A.
عليه فإننا سنركز اهتمامنا على الفضاءات الأربعة الآتية فقط:
1. فضاء صفوف A.
2. فضاء A الصفري
3. فضاء صفوف AT
4. فضاء AT الصفري.
ملاحظة:
فضاءات المصفوفة أعلاه تسمى الفضاءات الأساسية. إذا كانت سعة A هي m x n فإن فضاء صفوف A الصفري هي فضاءات جزئية في Rn . كذلك فضاء صفوف AT وفضاء AT الصفري هي فضاءات جزئية في Rm.
مبرهنة (1-2):
لتكن A مصفوفة ما، فإن بعد فضاء صفوف A يساوي بعهد فضاء أعمدة A.
البرهان:
نفرض أن الشكل المدرج الصفي المختزل للمصفوفة A هي R فإن من الملاحظة (1) بعد المبرهنة (5-4-4):
بعد فضاء صفوف A = بعد فضاء صفوف R
كذلك:
بعد فضاء أعمدة A = بعد فضاء أعمدة R
ولما كان: بعد فضاء صفوف R = بعد فضاء أعمدة R.
إذن: بعد فضاء صفوف A = بعد فضاء أعمدة A.
مثال(1):
أوجد رتبة وتصفير A حيث:

باستخدام عمليات الصف البسيطة سنحصل على (تأكد من ذلك بنفسك) الشكل المدرج الصفي المختزل الآتي:

بما أننا حصلنا على ثلاث صفوف غير صفرية، (بمعنى آخر ثلاث أدلة 1) فإن رتبة A تساوي3.
لإيجاد تصفير A فإننا يجب أن نحصل على بعد فضاء حل النظام الخطي AX = 0 وللحصول على هذا الحل فإننا نختزل المصفوفة الممتدة للشكل المدرج الصفي المختزل فنحصل على:

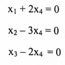
لذا فإن فالنظام الخطي المقابل لهذه المصفوفة هو:

عليه فالحل هو (تأكد من ذلك)

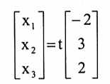
وبفرض x4 = 1 فإن الحل العام للنظام الخطي AX = 0 هو:
أي أن:

لذا فإن المتجه الوحيد في الجانب الأيمن يكون أساساً لفضاء الحلول وعليه
Mull (R) = 1
مثال(2):
احسب rank (A) وصفرية A إذا كانت:
وهذه المصفوفة هي بالشكل المدرج الصفي التي تحوي على صفين مستقلين خطياً. لذا فإن rank (A) = 2
مبرهنة (1-3)
لتكن A مصفوفة ما، عليه:
(rank (A) = rank (AT) (اي رتبة A = رتبة AT)
البرهان:
رتبة A = بعد فضاء صفوف A = بعد فضاء أعمدة AT = رتبة AT
مثال (3):
بالعودة للمصفوفة في المثال 2، أي 
وبوساطة عمليات الصف البسيطة على AT نحصل على:

المصفوفة الأخيرة هي بالشكل المدرج الصفي والتي تحتوي على صفين مستقلين خطياً. عليه فإن:
Rank (AT) = 2
وهو نفسه rank (A)
مبرهنة (1-4):
إذا احتوت المصفوفة A على n من الأعمدة فإن:
Rank (A) + mull (A) = n
البرهان:
بما أن النظام الخطي AX = 0 له n من المتغيرات وذلك لأن A تحتوي على n من الأعمدة. لذا فإن:
عدد المتغيرات الرئيسية + عدد المتغيرات الحرة = n
لكن عدد المتغيرات الرئيسية هو نفسه عدد الوحدات الرئيسية في الشكل المدرج الصفي المختزل للمصفوفة A وهذا العدد ساوي رتبة [rank (A)] وكذلك لما كان عدد المتغيرات الحرة يساوي صفرية A [null (A)] لأن صفرية A هي بعد فضاء الحل للنظام AX = 0 الذي يساوي عدد المتغيرات الوسيطة في الحل العام ويساوي عدد المتغيرات الحرة.
لذا فإن:
بعد فضاء صفوف (أعمدة) A + بعد الفضاء الصفري للمصفوفة n = A
مثال(4):
لما كان بعد فضاء الصفوف في المصفوفة A في المثال 2 يساوي (3) وكذلك بعد الفضاء الصفري يساوي 1، فإن:
4 = 1 + 3 وهو عدد أعمدة A.
أما في المثال 3 فإن بعد فضاء الصفوف هو2 وبعد الفضاء الصفري هو 1، عليه:
3 = 1 + 2 وهو عدد أعمدة A.
مثال(5):
أوجد عدد المتغيرات الوسيطة في حل النظام الخطي AX = 0، غذا علمت أن سعة A هي 5 x 7 وأن رتبة A هي 3 باستخدام مبرهنة (1-3):
صفرية A = (رتبة a) – n = 4 = 7 - 3
Mu11 (A) = n – rank (A) = 7 – 3 = 4
ملاحظة:
لتكن A مصفوفة سعتها m x n ورتبتها r. بوساطة مبرهنة (1-3) سعة AT هي n x m ورتبتها r. وبوساطة مبرهنة (1-4) فإننا نحصل على:
صفرية AT تساوي n – r وصفرية AT تساوي m – r ويمكن تلخيص ذلك بعمل الجدول الآتي:
الفضاءات الأساسية بعدها
فضاء صفوف A r
فضاء أعمدة A r
فضاء A الصفري n - r
فضاء AT الصفري m - r
إذا كانت A مصفوفة سعتها m x n فإن متجهات الصفوف تقع في R" ومتجهات الأعمدة تقع في R". من هذا نستنتج أن فضاء صفوف A هو على الأكثر n من الأبعاد وفضاء الأعمدة هو على الأكثر m من الأبعاد. لكن بعد فضاء صفوف A يساوي بعد فضاء أعمدتها. عليه:
إذا كان m ≠ n فإن rank (A) ≤ min (m , n)
مثال(6):
نفرض سعة A هي 7 x 5 لذا فإن رتبة A على الأكثر 5. نستنتج من ذلك أن متجهات الصفوف غير مستقلة خطياً (مرتبطة). كذلك إذا كانت السعة 3 x 6 فإن رتبة A على الأكثر 3 وعليه فإن متجهات الأعمدة غير مستقلة خطياً.
مبرهنة (1-5):
ليكن AX = B نظاماً خطياً يحتوي على m من المعادلات و n من المتغيرات، فإن ما يأتي يكون متكافئاً.
1. AX = B له حل واحد على الأقل (قويم).
2. B داخل فضاء أعمدة A.
رتبة A = رتبة المصفوفة الممتدة [A : B]
البرهان:
2←1 هذا الفرع مبرهن
3←2 بالتعريق، فضاء أعمدة مصفوفة ما هو فضاء متولد من متجهات أعمدتها. لذا فإن فضاءات أعمدة A ,[A : B] متولدة من مجموعتي المتجهات {c1, c2, … ,cn} و {c1, c2, … , cn} على التوالي.
إذا كانت B في أعمدة A فإن أي متجه في المجموعة {c1, c2, … , cn} و {c1,c2,… , cn, B} هو تركيب خطي للمتجهات {c1, c2, … , cn} وبالعكس. بوساطة مبرهنة (1-6):
نوجد مجموعة جزئية من متجهات أعمدة A التي تكون أساس فضاء أعمدة A. نفرض أن متجهات العمود هذه هي:
، متجهات الأساس هذه تنتمي إلى فضاء الأعمدة ذي البعد s للمصفوفة {A:B] وهذا يعني بأنها تكون أساس فضاء أعمدة المصفوفة [A:B] . هذا يعني أن B هي تركيب خطي من
وعليه فإن B تقع في فضاء أعمدة A.
مبرهنة (1-6):
ليكن AX = B نظام خطي يحوي m من المعادلات و n من المتغيرات (المجاهيل) فإن العبارات الآتية متكافئة:
1. AX = B قويمة (تحتوي على الأقل حل واحد) لكل مصفوفة B التي سعتها m x 1.
2. متجهات أعمدة A تنشأ Rm.
3. rank (A) = m (رتبة A).
البرهان :
1←2 : من المعادلة 2 بند (5-5) النظام AX = B يمكن التعبير عنه بالصورة:

نستنتج من ذلك أنه AX = B قويم لكل B وإذا وفقط إذا كل مصفوفة B يمكن التعبير عنها كتركيب خطي لمتجهات الأعمدة e1,e2,……en ،بمعنى آخر، إذا وفقط إذا كانت متجهات العمود تنشأ Rm.
1←3 : لما كان AX = B قويماً لكل B وكذلك من 1 و 2 من مبرهنة (1-5) نستنتج أن أي متجه B في Rm يقع في فضاء أعمدة A، أي أن فضاء أعمدة A يقع في Rm . لهذا فإن رتبة A تساوي بعد Rm ، أي يساوي m.
3←1 : بما أن رتبة A تساوي m، فإن فضاء أعمدة A هو فضاء جزئي في Rm بعدة يساوي m وبوساطة مبرهنة (5-4-10) فإنه يساوي كل Rm. من المبرهنة أعلاه ينتج أن AX = B قويماً لكل منتجه B في R وذلك لأن أي متجه مثل B ينتمي إلى فضاء أعمدة A.
ملاحظة:
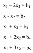
إذا كان النظام الخطي AX = B يتكون من m من المعادلات و n من المتغيرات بحيث ..... فإن متجهات أعمدة A لا تنشأ Rm . بواسطة المبرهنة أعلاه ينتج أن بالنسبة للمصفوفة A ذات السعة m x n حيث m>n فإن النظام الخطي AX = 0 ليس قويماً لجميع احتمالات B. على سبيل المثال النظام.

ليس قويماً (m>n) لكل قيم b1 (1.2.3.4)، المحتملة. والشروط الأساسية لكي يكون النظام قويماً هي بحل النظام بطريقة حذف قاوس ــ جوردن للحصول على الشكل المدرج الصفي للمصفوفة الممتد الآتي:

وهذا الشكل يكون قويماً إذا وفقط إذا حققت b2, b4, b3, b2, b1 العلاقات الآتية:

حيث r و s ثوابد لا على التعين.
مبرهنة (1-7):
إذا كان النظام الخطي AX = B قويماً ومتكوناً من m من المعادلات و n من المتغيرات وكذلك رتبة A هي r فإن الحل العام للنظام يحتوي على n –r وسيطاً.
البرهان:
من المبرهنة (1-4) العلاقة 3 الكميات الثابتة cn, …. , c2, c1 هي وسائط الحلول العامة AX = B و AX = 0 لذا فإن هذه الأنظمة تحتوي على نفس العدد من المتغيرات الوسيطة في حلولها العامة، إضافة لذلك ومن برهان مبرهنة (5-6-4) فإن عدد المتغيرات الوسيطة هو null(A) . ومن هذه الحقائق وبوساطة مبرهنة (5-6-4) نحصل على البرهان.
مثال(7):
لتكن A مصفوفة سعتها 4 x 7 ورتبتها 3. وإذا كان النظام الخطي قويماً فإن الحل العام للنظام يحتوي على 7 -3 = 4 وسيطاً.
مبرهنة (1-8):
لتكن A مصفوفة سعتها m x n فإن ما يأتي يكون متكافئاً.
1. النظام الخطي AX = 0 يحتوي على حل وحيد هو الحل الواضح.
2. متجهات أعمدة A تكون مستقلة خطياً.
3. النظام الخطي AX = B يحتوي على الأكثر حلاً واحداً لكل B ذات السعة m x 1.
البرهان:
2←1 نفرض أن . cn, …. , c2, c1 هي متجهات أعمدة A، عليه فإن النظام الخطي AX = 0 يمكن كتابته بالشكل:

إذا كانت cn, …. , x2, c1 مستقلة خطياً. فإن المعادلة أعلاه تتحقق فقط عندما X1 = X2 = …. = Xn =0، وهذا يعني أن الحل الواضح هو الحل الوحيد للنظام AX = 0 وبالعكس، إذا كان الحل الواضح هو الحل الوحيد للنظام AX = 0 فإن المعادلة أعلاه تتحقق فقط عندما x1 = x2 = … = cn = 0 وهذا يعني أن cn, …. , c2, c1 مستقلة خطياً.
1←3: نفرض أن الحل الواضح هي الحل الوحيد للنظام AX = 0 فإن النظام AX = B اما ـن يكون قويماً أو لا يكون ، فإذا لم يكن قويماً فسوف لا يكون للنظام حلاً. اما إذا كان قويماً، نفرض أن x هو حل ما لا على التعيين. من خلال مبرهنة (5-5-4) العلاقة (3) وحقيقة أن الحل الواضح للنظام AX = 0 هو الحل الوحيد نستطيع الاستنتاج بأن الحل العام للنظام AX = B هو:

لذا فإن x' هو الحل الوحيد للنظام AX = B
3←1 : نفرض أن النظام AX = B له على الأثر حل واحد ، لكل B سعة m x 1 لذا فإن AX = 0 له على الأثر حل واحد هو الحل الواضح.
مثال(8):
إذا كانت المصفوفة A ذات سعة 5 x 7 فإن النظام AX = B يكون قويماً لكل B ذات السعة 7 x 1 وأن الحل العام يحتوي على 7 – r من المتغيرات الوسيطة حيث r رتبة A.
ملاحظة:
خلاصة القول نستطيع الآن جمع معظم النتائج المهمة التي حصلنا عليها سابقاً
لتكن A مصفوفة سعتها n x n ونفرض أنها مضروبة التحويلة
فإن النتائج الآتية تكون متكافئة:
1. A قابلة للانعكاس.
2. الحل الوحيد للنظام الخطي AX = 0 هو الحل الصفري.
3. الصيغة المدرجة الصفية المختزلة للمصفوفة A هي In.
4. A هي عبارة عن حاصل ضرب مصفوفات بسيطة.
5. النظام الخطي AX = B قويماً لكل B مصفوفة سعتها n x 1.
6. يكون للنظام الخطي AX = 0 حلاً وحيداً لكل B.
7. |A| ≠ 0.
8. مدى TA هو Rn.
9. التحويلة TA متباينة.
10. متجهات أعمدة A مستقلة خطياً.
11. متجهات صفوف A مستقلة خطياً.
12. متجهات أعمدة A تنشأ R".
13. متجهات صفوف A تنشأ R".
14. متجها أعمدة A أساس R".
15. متجهات صفوف A أساس R".
16. رتبة A تساوي n.
17. صفرية A تساوي صفر.
الاكثر قراءة في الجبر الخطي
اخر الاخبار
اخبار العتبة العباسية المقدسة
الآخبار الصحية

قسم الشؤون الفكرية يصدر كتاباً يوثق تاريخ السدانة في العتبة العباسية المقدسة
"المهمة".. إصدار قصصي يوثّق القصص الفائزة في مسابقة فتوى الدفاع المقدسة للقصة القصيرة
(نوافذ).. إصدار أدبي يوثق القصص الفائزة في مسابقة الإمام العسكري (عليه السلام)