

تاريخ الرياضيات

الاعداد و نظريتها

تاريخ التحليل

تار يخ الجبر

الهندسة و التبلوجي


الرياضيات في الحضارات المختلفة

العربية

اليونانية

البابلية

الصينية

المايا

المصرية

الهندية


الرياضيات المتقطعة

المنطق

اسس الرياضيات

فلسفة الرياضيات

مواضيع عامة في المنطق


الجبر

الجبر الخطي

الجبر المجرد

الجبر البولياني

مواضيع عامة في الجبر

الضبابية

نظرية المجموعات

نظرية الزمر

نظرية الحلقات والحقول

نظرية الاعداد

نظرية الفئات

حساب المتجهات

المتتاليات-المتسلسلات

المصفوفات و نظريتها

المثلثات


الهندسة

الهندسة المستوية

الهندسة غير المستوية

مواضيع عامة في الهندسة

التفاضل و التكامل


المعادلات التفاضلية و التكاملية

معادلات تفاضلية

معادلات تكاملية

مواضيع عامة في المعادلات


التحليل

التحليل العددي

التحليل العقدي

التحليل الدالي

مواضيع عامة في التحليل

التحليل الحقيقي

التبلوجيا

نظرية الالعاب

الاحتمالات و الاحصاء

نظرية التحكم

بحوث العمليات

نظرية الكم

الشفرات

الرياضيات التطبيقية

نظريات ومبرهنات


علماء الرياضيات

500AD

500-1499

1000to1499

1500to1599

1600to1649

1650to1699

1700to1749

1750to1779

1780to1799

1800to1819

1820to1829

1830to1839

1840to1849

1850to1859

1860to1864

1865to1869

1870to1874

1875to1879

1880to1884

1885to1889

1890to1894

1895to1899

1900to1904

1905to1909

1910to1914

1915to1919

1920to1924

1925to1929

1930to1939

1940to the present

علماء الرياضيات

الرياضيات في العلوم الاخرى

بحوث و اطاريح جامعية

هل تعلم

طرائق التدريس

الرياضيات العامة

نظرية البيان
مقدمة في أنظمة المعادلات الخطية
المؤلف:
علي جاسم التميمي
المصدر:
مقدمه في الجبر الخطي
الجزء والصفحة:
15-23
15-10-2015
64877
تعتبر دراسة المعادلات الخطية وحلولها من المواضيع المهمة في الرياضيات وخصوصاً في الجبر الخطي إضافة لاستخداماتها في العلوم التطبيقية الاخرى. سوف نقدم في هذا البند بعض العلاقات الرياضية الأساسية ومناقشة طرق حل تلك الأنظمة.
يمكن تمثيل معادلة الخط المستقيم في المستوى xy- بالصيغة:
ax + by = c
تمثيل هذه الصيغة معادلة خطية بمتغيرين هما x و y ويمكن كتابة الخطية التي تحتوي على n من المتغيرات، تسمى في بعض الأحيان المجاهيل، بالصيغة.
a1x1 + a2x2 + …. + anxn = c
حيث c, an, … , a2, a1 ثوابت حقيقة . إن حل المعادلة
a1x1 + a2x2 + …. + anxn = c هي الأعداد sn , … , s2, s1 بحيث تتحقق المعادلة عندما نعوض
xn = sn, … , x2 = s2 , x1 = s1
مثال (1):
المعادلات الآتية هي نماذج من المعادلات الخطية
1.x + 2y = 8
2.x1 – 2x2 + 4x3 + x4 = 7
3.y = x +3/4 z
أما المعادلات الآتية فهي ليست معادلات خطية:
1.x + 2y2 =3
2.y – cos θ = 0

لاحظ أن صيغة المعادلة الخطية تحتوي على متغيرات من الدرجة الأولى ولا تحتوي على متغيرات بدرجة أعلى أو جذور أو دوال مثلثية أو ضرب متغيرات مع بعضها أو دوال أسية.
مثال (2):
الصيغ الآتية:
3x1 = x2 + 5x3 = - 4
4x1 – x2 – 3x3 = 1
تمثل نظاماً خطياً يحتوي على معادلتين بثلاث متغيرات، وقيم المتغيرات x1 = 1 ، x2 = 2 ، x3 = -1 هي حل للنظام، لأنها تحقق كلاً المعادلتين أما x1 = 1 و x2 = 8 و x3 = 1 فهي ليست حلاً لأنها لا تحقق كلا المعادلتين.
ومن الجدير بالذكر أن بعض الأنظمة ليس لها حلاً، مثال ذلك.
X + y = 6
2x + 2y = 10
والسبب هو عند ضرب المعادلة الثانية في 1/2 نحصل على النظام الآتي:
X + y = 6
X + y = 5
والتي تناقض إحداهما الأخرى.
يسمى النظام الخطي الذي له على الأقل حل واحد فقط، بالنظام المتسق والذي ليس له حل يسمى نظام غير متسق.
المعنى الهندسي للنظام الخطي:
يمثل النظام الخطي العام المتكون من معادلتين خطيتين بمتغيرينx و y بالصيغة الآتية:
a1x +b1y = c1
A2x + b2y = c2
إن الشكل الهندسي لهذه المعادلات هو الخطوط المستقيمة L1 و L2 كما في الشكل (1-1) ولما كانت النقطة (x , y) تقع على المستقيم إذا وفقط إذا كانت x و y تحقق معادلة المستقيم، فإن حلول النظام الخطي تقابل المستقيمين L1 و L2 كما موضح في الشكل (1-1).

من خلال الشكل (1-1) يتضح أن هناك ثلاث احتمالات للحلول وهي:
1- المستقيمان L2 , L1 متوازيان، أي لا يوجد نقطة تقاطع، وعليه فليس للنظام الخطي حل [شكل (1-1)a ].
2- المستقيمان L2 , L1 يتقاطعان بنقطة، وهذا يعني أن النظام الخطي له حل واحد فقط [الشكل (1-1)b].
3- المستقيمان متطابقان، اي يوجد عدد غير محدود من الحلول [شكل (1-1)c].
نستنتج من ذلك أن أي نظام خطي إما ليس له حل او له حل واحد فقط أو له عدد غير منتهي من الحلول.
تسمى المجموعة المنتهية المتكونة من m من المعادلات الخطية، التي تحوي على n من المتغيرات xn,…,, x2 , x1 نظام المعادلات الخطية. وتسمى أيضاً بالنظام الخطي. اما المتتابعة المتكونة من n من الأعداد الحقيقية sn, … , s2, s1 = xn حلاً لكل معادلة من النظام الخطي.
ويمكن كتابه النظام الخطي المتكون من m من المعادلات التي تحتوي على n من المتغيرات بالصيغة:
a11x1 + a12x2 + … + a1m xn = c1
X21x1 + a22x2 + … + a2m xn = c2
… … …
am1 +am2 x2 + … + amn xn = cm
إذ أن xn , … , x2 , x1 هي متغيرات و .... ، ... ثوابت حيث:
1,2,…..,m i= ، j=1,2,….n
طريقة حل أنظمة المعادلات الخطية:
الطريقة الأساسية لحل نظام معادلات خطية تكون باستبدال نظام معطى بنظام جديد يمتلك مجموعة الحل نفسها ولكن أسهل في الحل. يتم الحصول على هذا النظام الجديد بسلسلة خطوات بتطبيق ثلاث أنواع من العمليات وذلك لحذف المجاهيل:
1- تبادل معادلتين لبعضهما الاخرى.
2- ضرب معادلة ما يثابت غير صفري.
3- جمع مضاعف إحدى المعادلات إلى أخرى.
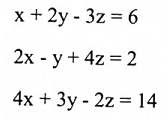
مثال (3):
حل النظام الخطي الآتي:

الحل:
1- ضرب المعادلة L1 في -3 ونضيف حاصل ضرب للمعادلة L2.
نرمز لهذه العملية بالرمز L2 + -3L1، كذلك نضرب L1 في -4 ونضيفه إلى L3 (أي أن العملية هي L3 + -4L1).
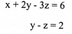
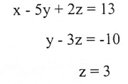
وبموجب هاتين العمليتين سنحصل على النظام المكافئ الآتي:

2- نضرب المعادلة L2 في -2 ونضيفه إلى L'2 ، سنحصل على النظام المكافئ (العملية هي L'23 + -2L'2).

من L''3 نحصل على z = 3 وبتعويضها في L''2 نحصل على y = -1 وأخيراً نعوض عن z,y في L''1 فنحصل على x = 2، أي أن مجموعة الحل هي: (3 ، -1 ، 2) لاحظ أن النظام الخطي (3) يكافئ النظام (1) . ويسمى النظام (3) نظام خطي بالصيغة المدرجة صفياً.
مثال (4):
حل النظام الخطي الآتي:

الحل:
باعتماد أسلوب المثال 3 نفسه سنحصل على النظام الخطي المكافئ الآتي:

يتضح من المعادلتين أعلاه أننا حصلنا على معادلتين خطيتين بثلاث متغيرات، وللحصول على الحل نفرض أن z = t ثم نجد قيم y , x بالتعويض في المعادلة الثانية والأولى. عليه فإن الحل يكون:
Z = t ، y = 2+2t ، x = 2 - t
لاحظ أن t في المثال 4 يسمى بالوسيط وتكون الحلول غير منتهية لأنها تعتمد على t، حيث t أي عدد حقيقي.
ملاحظة:
إذا كانت cn, …. , c2,c1 في النظام الخطي (1) تساوي أصفاراً فإن النظام هذا يسمى بالنظام المتجانس ، اما إذا كانت الثوابت cn, … , c2, c1 لا تساوي أصفار فإن النظام الخطي يسمى بالنظام غير المتجانس.
مثال (5):
حل النظام الخطي المتجانس الآتي:

الحل:
بتحويل هذا النظام للشكل المدرج صفياً باستخدام طريقة المثال (2) نحصل على النظام المكافئ.
X + w = 0
Y + 7w = 0
Z + 6w = 0
وبفرض w = t وتعويضها في المعادلات أعلاه نحصل على الحلول:
W = t ، Z = -6t ، y = -7t ، X = 11t
المصفوفة الممتدة: يمكن وضع الثوابت في النظام الخطي (1) بالصيغة:

إذ أن aij هي أعداد حقيقية تمثل معاملات المتغيرات و ci تمثل الثوابت في الطرف الأيمن من النظام (1). تسمى الخطوط الأفقية صفوفاً، أما الخطوط العمودية فتسمى أعمدة، ويقال للصيغة (6) ، المصفوفة الممتدة.
مثال (6):
يمكن وضع ثوابت النظام الخطي الواردة في (2) بصيغة مصفوفة ممتدة على النحو الآتي

وبما أن الصفوف الواردة في المصفوفة الممتدة تقابل المعادلات الواردة في النظام الخطي للمثال (3)، فإن التعليمات الثلاث المستخدمة في طريقة حل المعادلات الخطية تكافئ العمليات المستخدمة على صفوف المصفوفة الممتدة الآتية:
1- ضرب أي صف بكمية ثابتة غير صفرية.
2- تبديل أي صفين أحدهما مكان الآخر.
3- إضافة مضاعف أحد الصفوف لصف آخر.
وتسمى هذه العمليات، عمليات الصف البسيطة.
مثال (7):
حل النظام الخطي الوارد في المثال (3) باستخدام عمليات الصف البسيطة.
الحل:
1. المصفوفة الممتدة للنظام هي:

2. نضرب الصف الأول في -3 ونضيفه إلى الصف الثاني. كذلك نضرب الصف الأول في -4 ونضيفه للصف الأول ولذلك سوف نحصل على المصفوفة الممتدة المكافئة الآتية:

3. بضرب الصف الثاني في -2 وإضافته للصف الثالث سنحصل على المصفوفة الممتدة المكافئة:

الصيغة التي حصلنا عليها تسمى الصيغة المدرجة التي تقابل النظام الخطي المكافئ:

وبالتعويض عن قيمة z نحصل على الحل:
Z=3 ، y=1 ، x=2
الاكثر قراءة في الجبر الخطي
اخر الاخبار
اخبار العتبة العباسية المقدسة
الآخبار الصحية

قسم الشؤون الفكرية يصدر كتاباً يوثق تاريخ السدانة في العتبة العباسية المقدسة
"المهمة".. إصدار قصصي يوثّق القصص الفائزة في مسابقة فتوى الدفاع المقدسة للقصة القصيرة
(نوافذ).. إصدار أدبي يوثق القصص الفائزة في مسابقة الإمام العسكري (عليه السلام)