أنظمة المعادلات الخطية والمصفوفات -نتائج إضافية على الأنظمة الخطية وقابلية للانعكاس
المؤلف:
علي جاسم التميمي
المصدر:
مقدمة في الجبر الخطي
الجزء والصفحة:
65-69
13-3-2016
9163
نتائج إضافية على الأنظمة الخطية وقابلية للانعكاس:
نقدم في هذا البند إضافية للأنظمة الخطية وقابلية انعكاس المصفوفات. علاوة على معرفة طريقة جديدة لحل n من المعادلات التي تحتوي على n من المتغيرات.
مبرهنة (1-1):
نظام المعادلات الخطية:
1. ما لا يحتوي على حل.
2. او يحتوي على حل واحد فقط.
3. أو له عدد غير منتهي من الحلول.
البرهان:
ليكن Ax = B نظام لمعادلات خطية، فإن بالضبط واحد من الاحتمالات أعلاه يكون صحيحاً. نفرض أن النظام Ax = B له اكثر من حل و x○ =x1-x2 حيث x2 , x1 حلان معينان للنظام. عليه فإن xo لا يساوي صفر، إضافة لذلك:

وإذا افترضنا K ثابت فإن:

بما ان xn لا يساوي صفر فإن Ax = R له اكثر من حل.
لقد قدمنا في البنود السابقة طريقتين، لحل النظام الخطي هما:
1. طريقة حذف كاوس.
2. طريقة حذف كاوس ــ جوروان.
وسنقوم بتوضيح طريقة أخرى لحل النظام الخطي.
مبرهنة (1-2):
إذا كانت A مصفوفة سعتها n x n وقابلة للانعكاس ، فإن النظام الخطي AX = B له حل واحد فقط.
X = A-1B
البرهان:
بما أن A(A-1B) = B ، فإن A-1B هو حل للمعادلة AX = B. ولكي نثبت بأنه الحل الوحيد، نفرض أن X1 هو حل آخر لا على اليقين.
لذا فإن AX1 = B، بالضرب في A-1 نحصل على X1 = A-1B . ومنها X1 = X.
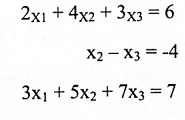
مثال(1):
حل النظام الآتي:

الحل:
1. نكتب النظام أعلاه بالشكل AX = B.

2. توجد معكوس المصفوفة A بإحدى الطرق السابقة.

3. الحل هو:

أو:
X3 = -4 , X2 = -8 , X1 = 25
مبرهنة (1-3):
لتكن A مصفوفة مربعة
1. إذا كانت المصفوفة المربعة B تحقق BA = In فإن B = A-1
2. إذا كانت المصفوفة المربعة B تحقق AB = In فإن B = A-1
البرهان:
نفرض BA = In، بضرب الطرفين من جهة اليمين في A-1 نحصل على BAA = IA أو BI = IA
مبرهنة (1-4):
إذا كانت A مصفوفة مربعة سعتها n x n ، فإن الصيغ الآتية متكافئة.
A .1 قابلة للانعكاس.
AX = 0 .2 لها حل واحد هو الحل الصفري.
3. الصيغة المدرجة المختزلة للمصفوفة A هي In.
4. يمكن كتابة A كحاصل ضرب مصفوفات بسيطة.
5. النظام AX = B متسق لكل مصفوفة B ذات السعة n x 1 .
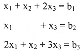
مثال (2):
ما هي الشرط على b3,b2,b1 لكي يكون النظام الآتي منسقاً.

الحل:
باستخدام عمليات صف بسيطة على المصفوفة الممتدة.

واضح من شكل المصفوفة أعلاه أن النظام الخطي متسق إذا تحقق الشروط:

بمعنى آخر أن النظام الخطي AX = B متسق إذا وفق إذا كانت:

حيث b1 و b2 لا على التعين.
الاكثر قراءة في الجبر الخطي
اخر الاخبار
اخبار العتبة العباسية المقدسة