المتجهات في فضاء البعد الثاني وفضاء البعد الثالث-تمارين محلولة
المؤلف:
علي جاسم التميمي
المصدر:
مقدمة في الجبر الخطي
الجزء والصفحة:
187-190
7-3-2016
7022
تمارين محلولة
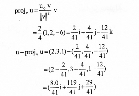
ليكن u = 2i + 3j ، v = i+j، احسب Projvu
الحل:
من الشكل المقابل نحصل على:

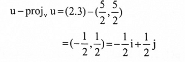
2- اوجد مركب u باتجاه v يمكن إيجاده من الصيغة:


1. Projv u.
2. u – Projv u
الحل:

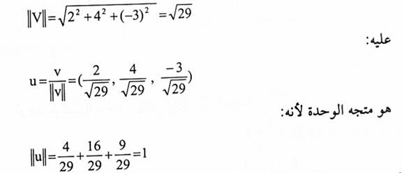
4- أوجد متجه الوحدة باتجاه المتجه v = (2,4,-3)
الحل:

5- أوجد معادلة المستوى المار بالنقاط P (1,2,1) و P (-2,3,-1) و Q (-2,3,-1) و R (1,0,4).
الحل:
النقاط الثلاث غير المتطابقة تكون مستوي لأنها تكون متجهين غير متوازيين والتي تتقاطع في نقطة.

المتجهين PQ = -3i + j – 2k
و QR = 3i – 3j + 5k
يقعان في المستوي ولذا فإنهما متعامدان مع الناظم n بحيث:

الاكثر قراءة في الجبر الخطي
اخر الاخبار
اخبار العتبة العباسية المقدسة