المتجهات في فضاء البعد الثاني وفضاء البعد الثالث-الضرب النقطي ؛المساقط:
المؤلف:
علي جاسم التميمي
المصدر:
مقدمة في الجبر الخطي
الجزء والصفحة:
151-161
6-3-2016
11908
الضرب النقطي ؛المساقط:
يتضمن هذا البند مناقشة طريقة ضرب المتجهات في الفضاء 2- والفضاء 3- مع إعطاء بعض الأمثلة لهذا الضرب هندسياً.
تعريف (1-1):
إذا كانت u , v متجهات مرسومة في الفضاء 2- أو الفضاء 3- بحيث تكون نقاط بدايتهما متطابقة و ⍉ هي الزاوية المحصورة بينهما، فإن الضرب النقطي (أو الضرب الداخلي الإقليدي)، يكتب v.u ويعرف كما يلي:

وإذا كانت v = 0 او u=0 فأن v.u=0
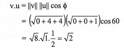
مثال(1):
نفرض v = (0,2,2) و u = (0,0,1) و ⍉=60
[شكل (1-1)] فإن:

شكل (1-1)

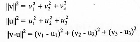
لتكن v = (v1 , v2 , v3) و u = (u1 , u2 , u3)متجهات غير صفرية و ⍉الزاوية بينهما كما موضح في الشكل (1-2) فإن:
من قانون جيوب التمام نحصل على:

شكل (1-2)
وبالتعويض عن :


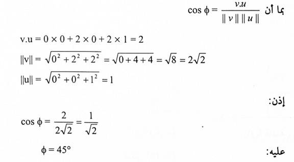
مثال(2):
لتكن u , v متجهات كما في مثال (1). أوجد الزاوية المحصورة بينهما.
الحل:

مبرهنة (1-2):
لتكن u , v متجهات مرسومة في فضاء 2- أو فضاء 3- فإن:

2. لتكن u , v متجهات غير صفرية و ⍉ زاوية محصورة بينهما فإ:
a. ⍉ زاوية حادة إذا وفقط إذا v.u>0
b. ⍉ زاوية منفرجة إذا وفقط إذا v.u<0
c. ⍉ زاوية قائمة (⍉=π/2).إذا وفقط إذا v. u = 0
البرهان:
(1) بما أن الزاوية بين v , v هي صفر فإن:
شكل (1-3)

مثال(3):
نفرض v = (2, -3, 4) ، u = (-4 , 3, 1) ، w = (2 , 4, 2) فإن:


لهذا فإن الزاوية بين u , v منفرجة ، الزاوية بين v و w قائمة. والزاوية بين w , u حادة.
المتجهين u , v يقال لهما بأنهما متعامدين إذا وفقط إذا v . u = 0 يرمز لتعامد u , v بالرمز .u ⟘v
مثال(4):
المتجه غير الصفري n = (a , b) المرسوم في فضاء 2- يكون عمودياً على المستقيم ax + by + c = 0.
الحل:
نفرض P1(x1 , y1) ، P2 ( x2 , y2)
نقاط واقعة على المستقيم [ الشكل (1-4)].

الشكل (1-4)
إذن:

إذن n والمتجه p1p2 متعامدين.
مبرهنة (1-3):
لتطن w , u , v متجهات مرسومة في فضاء 2- أو فضاء 3- و k كمية ثابتة، فإن الخواص الآتية تكون صحيحة:
1. v.u = u.v .
2.v . (u + w) = v.u + v.w
3 K (v.u) = (kv) . u = v. (ku).
4. v.v>0 إذا كان v ≠ 0 و v = 0.v إذا v = 0
البرهان:
نبرهن (1)
نفرض v = (v1 , v2, v3) و u = (u1, u2, u3)

مثال(5):
لتكن v = (2,0,-3) و u = (6,1,4) فإن:
إذنv.u = 0
عليه فإن v⟘u
المساقط المتعامدة: في بعض التطبيقات نحتاج إلى تحليل المتجه v إلى مركبتين، أحدهما توزي متجه ما مثل a والأخرى عمودية عليه. فإذا فرضنا أن بداية المتجه v تنطبق على بداية المتجه a كما في المثال (5) يمكننا تحليل v بإسقاط عمود من نهايته على المتجه a أو امتداد فنحص على المركبة الأول u1 والمركبة الثانية ستكون.
u2=v-u1
U1 يسمى المسقط العمودي للمتجه v على
A ويرمز له بالرمز ProjaV، وتسمى
U2 مركبة المتجه v العمودية على
A وتكتب:
U2 = v - projaV

شكل ((1-5
ملاحظة:
من الشكل (1-5)، المتجه u1 موازياً إلى a و u2 عمودياً على a وأن

مبرهنة (1-4):
لتكن v و a متجهات مرسومة في فضاء 2- وفضاء 3- وأن a ≠ 0، فإن مركبة المتجه v على امتداد a هي : projaV
ومركبة المتجه v العمودية على a هي :

البرهان:
نفرض أن u1 = projaV ، u2 = v - projav

ويأخذ الضرب النقطي لكلا الطرفين مع المتجه a باستخدام كل من المبرهنتين (1-2) و (1-3) نحصل على:

مثال(6):
لتكن (-3,2) a = و u = (2,1). اوجد مركبة u على امتداد a ومركبته العمودية على a.

ولكي نتحقق من أن u = projau عمود على. a

شكل (1-6)
الزاوية بين مركبة v باتجاه v و a:


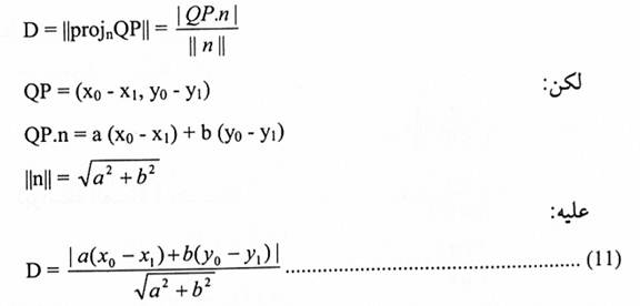
المساقط بين نقطة معلومة ومستقيم معلوم:
نفرض P (x0 , y0) نقطة معلومة والمستقيم المعلوم ax + by + c = 0 ولتكن Q (x1, x2) نقطة على المستقيم. نرسم المتجه (الناظم) n = (a , b) بحيث تكون Q بدايته.

شكل (1-7)
عليه فإن n عمود على المستقيم ، من الشكل (1-7) نلاحظ أن:

وبما أن النقطة Q تقع على المستقيم فإن مركباتها تحقق معادلة المستقيم.
لذا فإن: ax1 + by1 + c = 0
أي: c = -ax1 - by
وبالتعويض في العلاقة (11) نحصل على:

مثال(7):
أوجد المسافة من النقطة (-3 , 1) إلى المستقيم 4x + 3y + 4 = 0
الحل:
بالتعويض في العلاقة (12):

مثال(8): اوجد المسافة بين المستوى 2x – y + 3z = 6 والنقطة Q (3, 5, 7)
الحل:
نعين نقطة على المستوى ولتكن P (3,0,0) (لأنها تحقق المعادلة أعلاه).
الناظم n = (2, -1 , 3)
لهذا PQ = (0 , 5, -7)
و |PQ. n| = 26 (تحقق من ذلك)
الاكثر قراءة في الجبر الخطي
اخر الاخبار
اخبار العتبة العباسية المقدسة