النموذج الثنائي لمسائل البرمجة الخطيةDuality in Linear Programming:المقدمة:
المؤلف:
ا.د. ابو القاسم مسعود الشيخ
المصدر:
بحوث العمليات
الجزء والصفحة:
159-163
22-2-2022
4043
النموذج الثنائي لمسائل البرمجة الخطية
Duality in Linear Programming
المقدمة:
من الظواهر المهمة المصاحبة لمسائل البرمجة الخطية الثنائية (Duality) والتي تعرف بتحوير نموذج البرمجة الخطية الأولى إلى النموذج الثنائية. ويختص النموذج الثنائي بسهولة حله عند حصول أي تغير في معاملات وإتاحة المتغيرات في النموذج الأولي بعد صياغته وحله، وتستخدم هذه الخاصية في تسهيل ظاهرة الحساسية لنموذج البرمجة الخطية (Sensitivity Analysis).
ويعرف النموذج الثنائي أيضاً بأنه النموذج المائل للنموذج الأولي لصياغة مسائل البرمجة الخطية. ويرمز النموذج الثنائي الكثير من المعلومات التي يمكن أن تفيد إدارة العمليات الصناعية في سهولة اتخاذ القرارات، بالإضافة إلى تقليل العمليات الحسابية التي أصبحت سهلة بواسطة الحاسوب وتحتاج إلى وقت أقل في حالة توفر عدد كبير من القيود والمتغيرات عنها في النموذج الأول.
فمثلاً النموذج الأول يمكن أن يعرف على النحو الآتي:
مع ملاحظة أن x تحتوي على المتغير الفائض والمتغير الصناعي.
ولتوضيح النموذج الثنائي بالنظر إلى الجدول (6.1)
جدول (6-1)
والقاعدة تعني ان النموذج الثنائي له متغيرات
وله قيود n مقابلة ( (x1,x2, … xn.
والجدول رقم (6-2) يوضح الانتظام في التغييرين النموذج الاول والنموذج الثنائي:
جدول (6-2)
والأمثلة التالية توضح فكرة تغيير النموذج الأول إلى النموذج الثنائي:
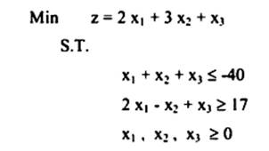
مثال .1 :
النموذج الأول
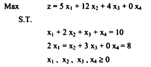
بإضافة المتغير الفائض والمتغير الصناعي:
النموذج الثنائي : (Dual).
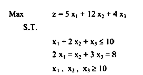
مثال .2 :
بإضافة المتغير الفائض والمتغير الصناعي:
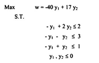
النموذج الثنائي :
مثال .3
ويمكن إعادة كتابة المسألة على النحو التالي:
أما النموذج الثنائي:
الاكثر قراءة في بحوث العمليات
اخر الاخبار
اخبار العتبة العباسية المقدسة