بعض الظواهر الشاذة لحل مسائل البرمجة الخطية بواسطة طريقة السمبلكس :المتغيرات الغير محددة
المؤلف:
ا.د. ابو القاسم مسعود الشيخ
المصدر:
بحوث العمليات
الجزء والصفحة:
114
30-1-2022
3328
بعض الظواهر الشاذة لحل مسائل البرمجة الخطية بواسطة طريقة السمبلكس
1- المتغيرات الغير محددة المدى
Unrestricted variables))
من خلال المقالات السابقة نلاحظ أن المتغيرات التي تم التعامل معها كلها
ذات خاصة أن
وبالرغم من ذلك نواجه أحياناً بعض المتغيرات التي حدودها من
مثال أن:
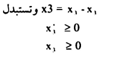
ويمكن تحويرها إلى الشكل التالي:
ونعامل x1 إذا كانت من ضمن المتغيرات في الحل الأساسي
وتعامل x3 إذا كانت من ضمن المتغيرات في الحل الأساسي على النمو
الاكثر قراءة في بحوث العمليات
اخر الاخبار
اخبار العتبة العباسية المقدسة