الخطوات الأساسية لطريقة السمبلكس -2
المؤلف:
ا.د. ابو القاسم مسعود الشيخ
المصدر:
بحوث العمليات
الجزء والصفحة:
99-102
29-1-2022
3245
الخطوات الأساسية لطريقة السمبلكس
أ- الخطوة الابتدائية: وذلك بإيجاد الحل الابتدائي على النحو التالي:
ب الخطوة الأساسية: إذا افترضنا أن
توقف ويعتبر الحل وهو الحل الأمثل (تصغير) إذا لم يتوفر الشرط المذكور أعلاه اختر الا توقف، فإن الحل هو الأمثل لمساحة غير محدودة خلال الاتجاه.
حيث ck مصفوفة الصف الواحد وتحتوي على كل صفر ما عدا عند موقع محدد K. إذا
أحسب الموقع
واستمر إلى الخطوات التكرارية حتى الحل الأمثل أو غيره.
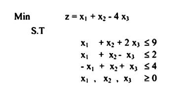
مثال 6.2
بإضافة (Slack) المتغيرات التي تحصل على إشارة التساوي
وبما أن كل
إذا يمكن اختيار المتغيرات الأساسية التي نبدأ بها الحل
محاولة رقم 1
إذا نظرنا إلى الصف صفر (0) نلاحظ وجود قيمة موجبة واحدة مناظرة إلى x3 وبالتالي بقيمة
وهذا يحدد دخول x3 إلى الحل وتصبح من المتغيرات الأساسية لتحسين الوصول إلى الحل الأمثل.
ويمكن تحديد (x) التي تخرج من الحل الأساسي من ضمن (x4,x5,x0) وذك باستخدام القاعدة بقسمة العمود (الطرق اليمين) على العمود الذي تم اختياره ونختار أقل قيمة موجبة.
أقل قيمة موجبة هي 4 المقابلة لـ x6
عليه يجب أن تخرج م% وتدخل x وتصبح المحاولة الثانية على الشكل الآتي:
بالنظر إلى الصف 0 مازالت توجد قيمة موجبة (Zj - Cj) مقابلة إلى (3)xj وتطبق نفس الخطوات للمحاولة الثالثة.
المحاولة الثالثة:
وبما أن كل
لجميع المتغيرات غير الأساسية.
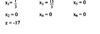
الحل هو الأمثل وقيم الحل هي:
الاكثر قراءة في بحوث العمليات
اخر الاخبار
اخبار العتبة العباسية المقدسة