حل مسألة البرمجة الخطية بطريقة جداول السمبلكس
المؤلف:
ا.د. ابو القاسم مسعود الشيخ
المصدر:
بحوث العمليات
الجزء والصفحة:
98
29-1-2022
3630
حل مسألة البرمجة الخطية بطريقة جداول السمبلكس
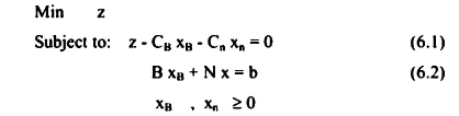
عند كل محاولة تقوم عملية حل المعادلات الخطية الآتية بطريقة السمبلكس
التي تكون مكونة لنظام البرمجة الخطية التالي:
من المعادلة 6.1
بضرب المعادلة (6.3) في CB وإضافتها إلى المعادلة (6.1)
إذا كانت حالياً 0= xn
وفق المعادلتين (6.3) ، (6.4)
نحصل على
ويمكن كتابة هذه المعادلات في صورة جدول على النحو الآتي:
من الصف صفر نلاحظ هل الحل هو الحل الأمثل بشرط أن
وغير ذلك أن المتغيرات غير الأساسية في الحل تدخل الحل إلى حين الوصول للحل الأمثل.
وفي حالة أن
فإن الحل يكون غير محدود المساحة (Unbounded area)
ويمكن تحديد المتغير الذي يخرج من المتغيرات الأساسية (التي لها حل) وتحديد المتغير الذي يدخل في الحل وبالتالي يسمى متغير أساسي (تم شرحه مسبقاً).
الاكثر قراءة في بحوث العمليات
اخر الاخبار
اخبار العتبة العباسية المقدسة