ظاهرة دوبلر
المؤلف:
فريدريك بوش ، دافيد جيرد
المصدر:
اساسيات الفيزياء
الجزء والصفحة:
21-1-2016
7752
ظاهرة دوبلر
ننتقل الآن إلى ظاهرة مختلفة ولكنها عامة لجميع أنواع الموجات ، وللموجات الصوتية على وجه الخصوص؛ وهي ظاهرة دوبلر*. ومن المؤكد انك قد لاحظت هذه الظاهرة يوماً ما وإن لم تدرك سبيها. فمثلاً، عندما تتحرك سيارة إسعاف مقتربة منك بسرعة كبيرة ثم تتخطاك مبتعدة عنك يمكنك ان تلاحظ أن صوت صفارة الإنذار يسلك سلوكاً غريباً. سوف يبدو لك ان نغمة الصفارة ترتفع أثناء اقترابها منك ثم تنخفض أثناء ابتعادها عنك. وهذا يعني بأسلوب آخر ان تردد الصوت يرتفع عند اقتراب المصدر الصوتي منك ويتخفض عند ابتعاده عنك. وتحدث ظاهرة مشابهة أيضاً في حالة الموجات الضوئية والموجات الكهرومغناطيسية كذلك فعندما تنعكس موجات الرادار على سيارة متحركة فإن ترددها يتزحزح بالنسبة إلى التردد الذي يرسله المصدر. ويعتمد مقدار الزحزحة الترددية على سرعة السيارة، مما يمكن ضابط المرور من معرفة ما إذا كانت السيارة قد تعدت حد السرعة القانونية أم لا. وعموماً فإن حركة نسبية بين مصدر الموجات مهما كان نوعها والمشاهد لها تأثيرها على تردد هذه الموجات الذي يقيسه هذا المشاهد.
ويمكن فهم ظاهرة دوبلر بالرجوع إلى الشكل 1)) الذي يوضح مصدراً للموجات المائية يتحرك تجاه اليمين في الماء. فبالرغم من ان المصدر يرسل موجات دائرية إلا ان مراكز الدوائر المتتالية تتحرك إلى اليمين مع حركة المصدر، وهذه الحركة تتسبب في أن تصبح القمم الموجية أكثر قرباً مكن بعضها البعض على الجانب الأيمن للمصدر مما هي على الجانب الأيسر. وهكذا فإن حركة المصدر تؤدي في الواقع إلى اختلاف الطول الموجي للموجات في الاتجاهات المختلفة.

الشكل1))
وتحدث ظاهرة مشابهة لذلك في حالة الموجات الصوتية، وهذا ما يمكن أن نراه بالشكل (2). فإذا كان المصدر ساكناً وكان المشاهد ساكناً أيضاً عن النقطة P سوف تسمع الأذن تردداً مماثلاً تماماً لتردد المصدر f، وهذا موضح بالشكل (2 ب). أما الشكل 2) ب) فإنه يوضح ما يحدث عندما يكون المصدر متحركاً والمشاهد ساكناً. في هذه الحالة سوف تسبب حركة المصدر اختلاف الطول الموجي للموجات المنبعثة منه في الاتجاهات المختلفة. ونظراً لأن حركة المصدر لا تؤثر على السرعة الموجية فغن تغير الطول الموجي سوف يؤدي إلى تغير تردد الصوت الذي يسمعه المشاهد الساكن. وبناء على التحليل السابق يمكننا أن نرى بسهولة أنه إذا كان المصدر متحركاً تجاه المشاهد فإن تردد الصوت المسموع سيكون اكبر من f؛ وإذا كان المصدر متحركاً مبتعداً عن المشاهد سيكون التردد المسموع أصغر من f ويختلف الموقف عندما يكون المشاهد متحركاً بالنسبة إلى مصدر ساكن، كما هو مبين بالشكل(3). فإذا كان المشاهد متحركاً تجاه المصدر فإنه سوف يستقبل عدداً من الجبهات الموجية كل ثانية أكبر من العدد المنبعث بالفعل من المصدر خلال نفس الزمن، أي أن المشاهد سوف يسمع تردداً أعلى من f. وبالمثل، عندما يتحرك المشاهد مبتعداً عن المصدر سوف تستقبل أذنه عدداً أقل من الجبهات الموجية في الثانية الواحدة، وبذلك سوف يقيس المشاهد تردداً أقل من f.

الشكل (2)

الشكل (3)
ويمكن تلخيص هذه الظاهرة وصفياً كما يأتي:
يزداد تردد الصوت المقاس عندما يتقرب المصدر والمشاهد أحدهما من الآخر ويقل عندما يبتعد أحدهما عن الآخر.
وكما أشرنا سابقاً فإن هذه الظاهرة تنطبق على جميع أنواع الموجات وليس على الموجات الصوتية فقط.
لنحاول الآن فحص ظاهرة دوبلر كمياً . يمكننا ان نرى من الشكل (2 ب) أن المسافة بين قمتين موجبتين متتاليتين متحركتين في اتجاه المشاهد تقصر بمقدار يساوي المسافة المقطوعة بواسطة المصدر خلال الزمن اللازم لانبعاث الجهتين الموجيتين المناظرتين.
ولكن هذا الزمن يساوي دورة الموجات T؛ وعليه فإن الطول الموجي الفعال المقاس يكون:
λ' = λ - Vs T
حيث vsسرعة المصدر. وبالمثل، عندما يكون المصدر مبتعداً عن المشاهد بسرعة قدرها vs سوف تستطيل المسافة بين كل قمتين موجبتين متتاليتين بمقدار vs T ،وهذا يعطي:
λ' = λ + Vs T
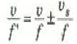
وباستخدام العلاقتين = v/fλ و T = 1/f نجد ان :

أو :
(1) 
حيث v سرعة الموجات في الوسط ، بينما تنطبق الإشارة الموجية في حالة ابتعاد المصدر عن المشاهد، وتنطبق الإشارة السالبة في حالة اقتراب المصدر من المشاهد.
لنفرض الآن أن المشاهد متحرك بسرعة أقل من سرعة الصوت مقدارها v1 في هذه الحالة ستكون السرعة النسبية بين المشاهد والموجات v + v1 عندما يكون المشاهد متحركاً تجاه المصدر، وهذا هو الموقف المبين بالشكل 3)). أما إذا كان المشاهد متحركاً عن المصدر فستكون السرعة النسبية v – v1 معنى ذلك أن دورة الموجة لن تكون /vλ، بل ستكون :

ومن ثم :
(1) 
حيث تعنى الإشارة السالبة هنا أن الحركة تجاه المصدر، بينما تنطبق الإشارة الموجبة عندما يتحرك المشاهد مبتعداً عن المصدر. وإذا التبس عليك الأمر فيما يتعلق بالإشارة الجبرية اللازم استخدامها في موقف معين فعليك أن تتذكر القاعدة العامة السابق ذكرها. ومن المهم أيضاً ألا تنسى أن المعادلتين ((1 و 2)) تعطيان زحزحتين تردديتين مختلفين لنفس السرعة، ويتوقف ذلك علة ما إذا كان الشيء المتحرك هو المصدر ام المشاهد.
ومع ذلك أثبت أينشتين أن المعادلة (1) و (2) غير صحيحتان في حالة الموجات الضوئية عندما يكون المصدر او المشاهد متحركاً بسرعة قريبة من سرعة الضوء وتنشأ هذه الصعوبة بسبب نظرية النسبية التي تنص على أن سرعة الضوء في الفراغ لا تعتمد على حركة المشاهد أو المصدر الضوئي. وتكون الزحزحة الترددية في مثل تلك الحالات فائقة السرعة واحدة سواء كان المتحرك هو المصدر او المشاهد.
__________________________________
(*) سميت الظاهرة بهذا الاسم نسبة إلى الفيزيائي النمساوي كريستيان جوهان دوبلر الذي أثبت في عام 1842 ضرورة حدوث هذه الظاهرة في حالة الموجات الصوتية والضوئية.
الاكثر قراءة في الصوت
اخر الاخبار
اخبار العتبة العباسية المقدسة