الشدة ومستوى الشدة
المؤلف:
فريدريك بوش ، دافيد جيرد
المصدر:
اساسيات الفيزياء
الجزء والصفحة:
21-1-2016
21009
الشدة ومستوى الشدة
أن المصدر الذي يرسل موجة على وتر يرسل الطاقة أيضاً مع الموجة. والواقع أن جميع الموجات تحمل الطاقة معها، وليست الموجات الصوتية استثناء من هذه القاعدة.
لنفرض ان موجة صوتية تتحرك في اتجاه الانتشار المبين بالشكل ((1؛ وسوف نعرف شدة الموجة بدلالة الطاقة التي تحملها هذه الموجة. وتحرياً للدقة، لنعتبر وحدة مساحة عمودية على اتجاه الانتشار، كما هو مبين. وهكذا يمكننا تعريف شدة الموجة I بأنها الطاقة التي تحملها الموجة عبر وحدة المساحة هذه في الثانية. وحيث ان القدرة هي الطاقة المنتجة في الثانية، إذن:
شدة الصوت هي القدرة المارة عبر وحدة مساحة عمودية على اتجاه انتشار الموجة.

ووحدات شدة الصوت في النظام SI هي الواط لك متر مربع، ويوضح الجدول (1) شدة بعض الأصوات المألوفة مقدرة بهذه الوحدة. لاحظ أن مدى شدة الصوت الذي تستطيع الأذن أن تسمعه واسع جداً ،وهذا يبين أن الاذن جهاز قياس صوتي مذهل الحساسية.
جدول ((1: القيم التقريبية لشدة ومستوى شدة بعض الأصوات

ومن أهم خواص الأذن أن استجابتها لمختلف مستوياتها شدة الصوت تتناسب طردياً مع لوغاريتم I، بمعنى ان إحساسنا بالجهارة النسبية لصوتين هو (I2/I1) وليس مجرد I2/I1. ومن ثم فغن المقياس المناسب للتعبير عن الجهارة (وتسمى مستوى الشدة أو مستوى الصوت) هو مقياس الديسيبل، ويعرف بالعلاقة:
(1) 
حيث I هي شدة الصوت المعطى ( بالواط لكل متر مربع) ،I0، هي غالباً ، وليس دائماً ، أقل شدة للصوت الذي تسمعه الأذن بالكاد وتساوي 10-12 W/m2. لاحظ أن مستوى شدة أقل صوت مسموع هي :

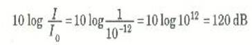
وحيث ان شدة الصوت المسبب للألم 1 W/m2، إذن مستوى شدة الصوت المسبب للألم يساوي:

أي ان هذا المقياس يضغط رتب العظم الأثنى عشر لشدة الصوت المسموع إلى مقباس يمتد من 0 إلى 120 dB فقط. وبينما يبين الجدول ((1 قيم dB لمختلف مصادر الصوت التي نقابها في حياتنا، يبين الجدول (2) قيم dB المناظرة لقيم مختلفة من الشدة.
الاكثر قراءة في الصوت
اخر الاخبار
اخبار العتبة العباسية المقدسة