الشدة في حالة المصدر النقطي: (قانون التربيع العكسي)
المؤلف:
فريدريك بوش ، دافيد جيرد
المصدر:
اساسيات الفيزياء
الجزء والصفحة:
21-1-2016
5420
الشدة في حالة المصدر النقطي: (قانون التربيع العكسي)
ان سعة الموجة، وبالتالي محتوى طاقتها، في ثلاثة أبعاد يقل عموماً مع البعد عن المصدر. وسنقوم الآن باشتقاق تعبير لهذا النقص في الشدة مع المسافة عند انبعاث الموجات في جميع الاتجاهات من مصدر نقطي. والمصدر النقطي من وجهة النظر العلمية هو مصدر أبعاده صغيرة جداً بالمقارنة بالمسافة التي تقاس عندما شدة الوجه.
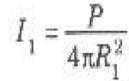
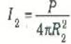
لنعتبر مصدراً نقطياً S قدرة إشعاعية الصوتية بالواط P، ولنتخيل كرتين متحدتي المركز نصف قطريهما R1 وR2 يقع مركزيهما المشترك عند المصدر، كما هو مبين بالشكل 1)). وسوف نفترض في هذا التحليل أن انبعاث الموجات من المصدر متجانس فراغياً، بمعنى أن الشدة واحدة في جميع الاتجاهات. وعندئذ يمكننا القول ان القدرة المنبعثة P تتوزع توزيعاً منتظماً على سطح الكرة 1 ومساحتهA1 = 4πR21 إذن ، شدة الصوت في أي نقطة مسافة R1 عن المصدر تساوي:

وبالمثل فإن الشدة على بعد R2 تكون:

ومن هاتين العلاقتين نجد أن النسبة بين الشدتين هي :

وتعرف الصيغة العامة لكيفية تغير الشدة مع المسافة بقانون التربيع العكسي:
تتناسب شدة الموجات المنبعثة انبعاثاً متجانساً فراغياً من مصدر نقطي تناسباً عكسياً مع مربع البعد عن المصدر.
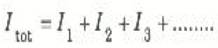
وإذا فرضنا أن هناك عدداً من المصادر المستقلة التي تنبعث منها الموجات في نفس الوقت إلى مواضع مختلفة ، فإن الشدة الكلية للموجات Itot في موضع ما تساوي مجرد مجموع الشدات المنفردة (I1, I2,…. ) في ذلك الموضع :
الاكثر قراءة في الصوت
اخر الاخبار
اخبار العتبة العباسية المقدسة