Logo
منذ 8 شهور   نشر في  ٢٠٢٥/٠٩/٠٦ م
عند رمي جسم بزاوية معينة، يقطع الجسم مسارًا منحنياً بسبب الجاذبية. الصورة توضح أن زاوية 45° تمنح الجسم أقصى مدى أفقي، بينما الزوايا الأكبر أو الأصغر تقلل المسافة التي يقطعها الجسم. هذا يوضح أن اختيار زاوية الإطلاق يؤثر مباشرة على المدى، وأن الحركة المقذوفة تتأثر دائمًا بالسرعة الابتدائية والجاذبية، مما يجعل تجربة الرمي اليومية مثالًا عمليًا على الفيزياء الكلاسيكية.
قراءة كامل الموضوع read more
3 + 5 =
منذ 8 شهور   نشر في  ٢٠٢٥/٠٩/٠٤ م
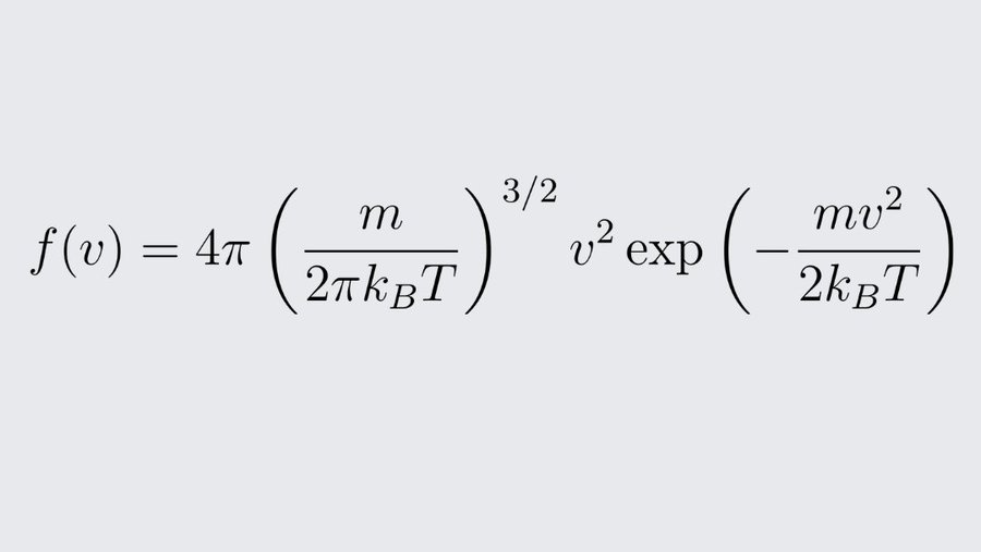
حركة دائرية منتظمة UNIFORM CIRCULAR MOTION يقال للحركة الدائرية بأنها منتظمة عندما يكون نصف قطر المسار ثابتاً وسرعة الجسم المتحرك ثابتة.
3 + 1 =
منذ 8 شهور   نشر في  ٢٠٢٥/٠٩/٠١ م
تأثير هول هو ظاهرة فيزيائية تُلاحظ عند مرور تيار كهربائي في موصل أو شبه موصل موضوع داخل مجال مغناطيسي عمودي على اتجاه التيار. بفعل قوة لورنتز تنحرف الإلكترونات أو حاملات الشحنة نحو أحد جانبي العينة، ما يولّد فرق جهد عرضي يُسمى الجهد الهولي. هذا الجهد يُستخدم لقياس شدة المجال المغناطيسي، ونوع وكثافة حاملات الشحنة (إلكترونات أو فجوات). تأثير هول أساس لأجهزة الاستشعار المغناطيسية في الهواتف والسيارات وأنظمة الملاحة.
قراءة كامل الموضوع read more
3 + 7 =
منذ 8 شهور   نشر في  ٢٠٢٥/٠٨/٣١ م
عند السرعات القريبة من سرعة الضوء تبدأ قوانين الفيزياء الكلاسيكية بالفشل، وتظهر تأثيرات النسبية الخاصة. فالجسم المتحرك بسرعة عالية يزداد "كتلته الظاهرية"أي مقاومته للتسارع، ويبطؤ مرور الزمن بالنسبة له مقارنةً بمراقب ثابت وهي الظاهرة المعروفة بتمدد الزمن كذلك تنكمش أبعاده في اتجاه الحركة وهو ما يسمى بانكماش الطول هذه التأثيرات ليست مجرد نظريات بل جرى قياسها عمليًا باستخدام جسيمات مثل الميونات التي تعيش في الغلاف الجوي حيث تبقى موجودة أكثر مما تسمح به أعمارها في حالة السكون بفضل تمدد الزمان النسبي
قراءة كامل الموضوع read more
9 + 4 =
منذ 8 شهور   نشر في  ٢٠٢٥/٠٨/٢٨ م
تأثير ليدنفروست يحدث عندما تقترب قطرة ماء من سطح معدني شديد السخونة، فتتكون طبقة رقيقة من البخار بين الماء والسطح تمنع تلامسه مباشرة. هذا يقلل من انتقال الحرارة بسرعة إلى القطرة ويجعلها "تطفو" لفترة أطول قبل أن تتبخر. الظاهرة نفسها تحمي الجلد عند ملامسة المعدن الساخن أو الرصاص المنصهر قليلاً، حيث يعمل البخار كعازل مؤقت يبطئ انتقال الحرارة ويقلل الحروق المباشرة.
قراءة كامل الموضوع read more
8 + 1 =
منذ 8 شهور   نشر في  ٢٠٢٥/٠٨/٢٧ م
عندما يركل رائد الفضاء كرة في الفراغ، لا تتحرك الكرة وحدها، بل يشعر الرائد برد فعل معاكس يدفعه للخلف. ذلك بسبب قانون نيوتن الثالث: "لكل فعل رد فعل مساوي له في المقدار ومعاكس في الاتجاه". بما أن كتلة الرائد أكبر بكثير من الكرة، فإن سرعته الناتجة عن الركلة تكون أصغر، لكنه يتحرك بالفعل. هذا المبدأ هو نفسه الذي تعتمد عليه الصواريخ في التحليق، حيث يخرج الوقود بسرعة كبيرة فيدفع المركبة في الاتجاه المعاكس.
قراءة كامل الموضوع read more
6 + 1 =
منذ 8 شهور   نشر في  ٢٠٢٥/٠٨/٢١ م
الصورة تمثل الموجة الصوتية كما تُسجلها أجهزة القياس، حيث يظهر الاهتزاز في شكل خط يتأرجح مع الزمن. هذا يعكس أن الصوت ليس شيئًا ساكنًا، بل هو اهتزاز متواصل ينتشر في الوسط كالهواء على شكل ضغط متغير بين الارتفاع والانخفاض. القمم في الرسم تدل على ضغط أعلى يسمع كصوت قوي، والقيعان تمثل ضغطًا أقل. كلما زادت سعة الاهتزاز زادت شدة الصوت، وكلما صغر الاهتزاز كان الصوت أخفت. ومع مرور الوقت تضعف الموجة تدريجيًا بسبب امتصاص الوسط للطاقة، وهو ما يجعل الصوت يخفت حتى يختفي تمامًا.
قراءة كامل الموضوع read more
9 + 3 =
منذ 8 شهور   نشر في  ٢٠٢٥/٠٨/٢١ م
يوجد نوعان من وحدات القياس؛ وحدات قياس مطلقة (مثل المتر، والكيلوغرام، والثانية، و...)، ووحدات القياس المطلقة هي وحدات القياس التي تعبر عن الشيء نفسه في جميع الأوساط، والأزمنة، والأمكنة. النوع الآخر من وحدات القياس هو وحدات القياس النسبية (مثل الديسيبل)، ووحدات القياس النسبية لا تعبّر عن الشيء نفسه في جميع الأوساط، فعلى سبيل المثال، إن الديسيبل في الهواء يختلف عن الديسيبل في الماء.
قراءة كامل الموضوع read more
6 + 8 =
منذ 8 شهور   نشر في  ٢٠٢٥/٠٨/١٨ م
الانبعاثات الأذنية السمعية (Otoacoustic Emissions - OAEs) هي أصوات خافتة تُنتجها خلايا الشعر الخارجية في الأذن الداخلية استجابةً للمحفزات الصوتية. تُستخدم هذه الانبعاثات كأداة تشخيصية لتقييم وظيفة الأذن الداخلية، خاصةً في فحص السمع لدى الأطفال حديثي الولادة.
8 + 8 =
منذ 8 شهور   نشر في  ٢٠٢٥/٠٨/١٨ م
عند الحديث أو عزف آلة موسيقية، تنتقل اهتزازات الهواء على شكل موجات صوتية. هذه الموجات تتسم بتردد محدد يحدد النغمة، وسعة تحدد شدة الصوت. تنتقل بسرعة تعتمد على الوسط: في الهواء حوالي 343 م/ث، في الماء 1470 م/ث، وفي الفلزات أسرع بكثير. الصوت العالي جدًا يمكن أن يتلف الأذن الداخلية، بينما الأصوات المنخفضة جدًا قد تُشعر بها عبر اهتزاز الجسم قبل السمع. هذه الظواهر هي أساس الفيزياء الصوتية.
قراءة كامل الموضوع read more
6 + 9 =
منذ 8 شهور   نشر في  ٢٠٢٥/٠٨/١٥ م
تأثير دوبلر هو تغير في تردد الموجات التي يستقبلها المراقب عندما يتحرك هو أو مصدر الموجة بالنسبة للآخر. عند اقتراب المصدر، ترتفع قيمة التردد ويصبح الصوت أوضح وأعلى حدة، بينما عند ابتعاده ينخفض التردد ويصبح أعمق. هذه الظاهرة تُستخدم في العديد من التطبيقات، مثل رادارات قياس سرعة السيارات، وأنظمة السونار، وقياس سرعة النجوم والمجرات عبر رصد الانزياح نحو الأحمر أو الأزرق في أطيافها.
قراءة كامل الموضوع read more
5 + 8 =
منذ 8 شهور   نشر في  ٢٠٢٥/٠٨/١٤ م
التوتر السطحي هو ظاهرة فيزيائية تحدث عند سطح السائل، حيث تتصرف جزيئات السائل كما لو كانت مغطاة بغشاء مرن مشدود. تنتج هذه الظاهرة عن قوى التماسك بين جزيئات السائل، مما يؤدي إلى تقليل المساحة السطحية للسائل. على سبيل المثال، عند وضع قطرة ماء على سطح زجاجي، تتجمع الجزيئات معًا، مما يجعل القطرة تأخذ شكلًا كرويًا. هذا التوتر السطحي يسمح للأجسام ذات الكثافة الأكبر من الماء، مثل إبرة، بالطفو على سطح الماء دون أن تغرق، إذا كانت موضوعة برفق.
قراءة كامل الموضوع read more
1 + 1 =