Logo
منذ 7 شهور   نشر في  ٢٠٢٥/٠٩/٢٠ م
مشروع Swarm هو مشروع تابع لوكالة الفضاء الأوروبية (ESA) مخصص لدراسة المجال المغناطيسي للأرض بدقة عالية. أُطلق أسطول من ثلاثة أقمار صناعية في نوفمبر 2013، تعمل بشكل متزامن لتسجيل التغيرات في شدة واتجاه المجال المغناطيسي على جميع مستويات الغلاف الجوي والسطح الداخلي للأرض
2 + 2 =
منذ 7 شهور   نشر في  ٢٠٢٥/٠٩/٢٠ م
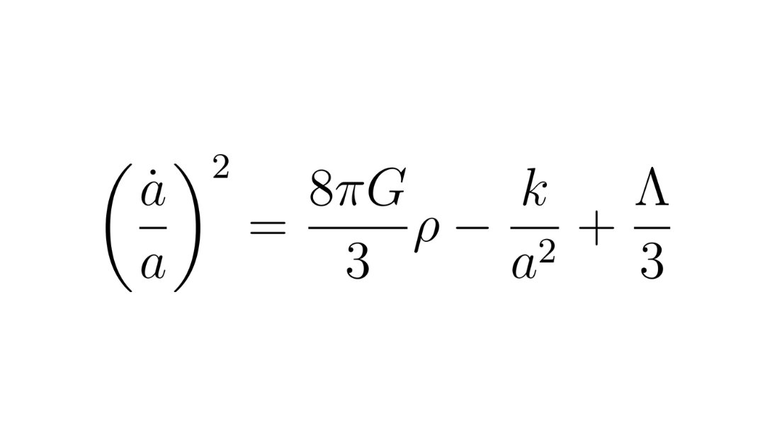
المجال المغناطيسي للأرض ليس متماثلًا تمامًا، فهو أكثر قوة بالقرب من القطبين وأضعف عند خط الاستواء، ويتأثر بعوامل متعددة مثل النشاط الشمسي والتغيرات في الغلاف الخارجي للنواة. يتفاعل المجال مع الجسيمات المشحونة الشمسية لتكوين الأضواء القطبية، كما يساهم في حماية الأقمار الصناعية والبنية التحتية الكهربائية من التلف الناتج عن الانفجارات الشمسية.
قراءة كامل الموضوع read more
9 + 9 =
منذ 7 شهور   نشر في  ٢٠٢٥/٠٩/١٨ م
عندما يحيط بالشمس حلقة ضوئية تعرف بالهالة، يكون السبب انكسار الضوء داخل بلورات الجليد السداسية في السحب العالية. ما يميز هذه الظاهرة أن كل لون من ألوان الطيف ينكسر بزاوية مختلفة؛ فالضوء الأحمر ينحني بزاوية أصغر من الأزرق، مما يجعل الحافة الداخلية للهالة مائلة إلى الاحمرار بينما تميل الحافة الخارجية إلى الزرقة. هذه النتيجة ليست مجرد مشهد بصري بديع، بل دليل على دقة القوانين الفيزيائية التي تحكم تفاعل الضوء مع المادة في الغلاف الجوي للأرض.
قراءة كامل الموضوع read more
6 + 4 =
منذ 7 شهور   نشر في  ٢٠٢٥/٠٩/١٨ م
ظاهرة الشمس الزائفة Mock Sun أو الشمس الوهمية Parhelion هي عبارة عن بُقع مُتوهّجة حول الشمس تتكون بسبب انكسار ضوء الشمس عن البلورات الجليدية ذات الشكل الصفيحي المستوي في الغيوم السمحاقية Cirrus Clouds. والشموس الوهمية هي أكثر الظواهر البصرية التي يتكرر مشاهدتها ويمكن رؤيتها على مدار السنة وحول العالم. وهي مرتبطة أيضا بالهالات ذات الزاوية 22 درجة.
قراءة كامل الموضوع read more
3 + 3 =
منذ 7 شهور   نشر في  ٢٠٢٥/٠٩/١٨ م
الصورة تُظهر ظاهرة بصرية تُعرف باسم الهالة الشمسيةSolar Haloوهي دائرة ضوئية تحيط بالشمس نتيجة انكسار الضوء وانعكاسه داخل بلورات الجليد السداسية الشكل الموجودة في طبقات السحب العليا(عادة السحب الرقيقة من نوع سيروس)عندما يدخل الضوء إلى هذه البلورات ينكسر بزاوية مقدارها تقريباً 22 درجة ما يؤدي إلى ظهور حلقة دائرية متألقة حول الشمس هذه الظاهرة توضح كيف يمكن لبنية دقيقة فيزيائياً مثل بلورات الجليد أن تتحكم في مسار الضوء المرئي وتخلق مشهداً سماوياً بديعاً وهي مثال على تفاعل الضوء مع الجسيمات الدقيقة
قراءة كامل الموضوع read more
3 + 9 =
منذ 7 شهور   نشر في  ٢٠٢٥/٠٩/١٧ م
عندما يمر الضوء عبر السحب، فإنه يتعرض لتبعثر معقد نتيجة اصطدامه بجزيئات الماء وقطراته الدقيقة. هذا التبعثر يُعرف باسم "تبعثر ماي" ويختلف عن تبعثر رايلي المسؤول عن زرقة السماء. في السحب، حجم القطرات أكبر من طول موجة الضوء تقريباً، ما يؤدي إلى نشر الضوء في اتجاهات متعددة فيعطي السحب لونها الأبيض المميز. أما عند غروب الشمس، فإن زيادة المسافة التي يقطعها الضوء تؤدي إلى امتصاص أطوال موجية أقصر وبقاء الأحمر والبرتقالي مسيطرين على المشهد.
قراءة كامل الموضوع read more
5 + 1 =
منذ 7 شهور   نشر في  ٢٠٢٥/٠٩/١٦ م
الطاقة الكهربائية التي نستخدمها يوميًا يمكن أن تأتي من الرياح، بفضل التوربينات الهوائية. في قلب هذه التوربينات يوجد المولد الكهربائي هو قلب التوربين الهوائي. عندما تدور شفرات التوربين بفعل الرياح، تنتقل هذه الحركة إلى المولد، الذي يحوّل الطاقة الميكانيكية إلى كهرباء صالحة للاستخدام. بفضل المولد، يمكن للطاقة التي تهب بها الرياح أن تتحوّل إلى كهرباء تضيء المنازل وتشغّل المصانع، بطريقة نظيفة وصديقة للبيئة. كل جزء من التوربين يعمل بتناغم مع المولد ليضمن إنتاج الطاقة بكفاءة وأمان.
قراءة كامل الموضوع read more
9 + 1 =
منذ 7 شهور   نشر في  ٢٠٢٥/٠٩/١٤ م
يعد LI-900 نوعًا من بلاط العزل السطحي القابل لإعادة الاستخدام والذي طورته وصنعته شركة لوكهيد للصواريخ والفضاء في سانيفال ، كاليفورنيا. تم تصميمه للاستخدام في المكوك الفضائي كجزء من نظام الحماية الحرارية لتقليل التوصيل الحراري مع توفير أقصى مقاومة للصدمة الحرارية.
7 + 1 =
منذ 7 شهور   نشر في  ٢٠٢٥/٠٩/١٤ م
عند نزع شريط لاصق من بكرته في الظلام، يظهر توهج خافت نتيجة لتولّد شرر كهربائي ساكن بين السطحين المنفصلين. أثناء التمزق، تتجمع شحنات موجبة وسالبة على رقع متقابلة، ويقفز الشرر عبر الهواء الحامل للإلكترونات نحو جزيئات النيتروجين، مما يثيرها ويجعلها تبث ضوءًا أزرق مع إشعاع فوق بنفسجي. هذا الشرر يصدر أيضًا موجات راديوية تلتقطها هوائيات المذياع كضجيج. عند ارتفاع الرطوبة، تتسرب النداوة إلى السطوح، فتبدد الشحنات وتمنع الشرر، وهو ما يفسر زوال التوهج والضجيج في الأجواء الرطبة.
قراءة كامل الموضوع read more
2 + 5 =
منذ 7 شهور   نشر في  ٢٠٢٥/٠٩/١١ م
استخراج الغاز غير التقليدي مثل (Shale Gas) يعتمد على مبدأ الضغط والتشقق الهيدروليكي، حيث يُحقن مائع بضغط عالٍ داخل الصخور الكثيفة (مثل الرمل المشدود أو السجيل الغني بالغاز) لتوليد كسور دقيقة تزيد من نفاذية الوسط. وفقاً لقانون دارسي لتدفق الموائع، فإن معدل تدفق الغاز يعتمد على النفاذية والضغط التفاضلي، لذا فإن هذه الكسور الاصطناعية تسمح بانتقال الغاز من المسام الدقيقة نحو البئر بكفاءة أعلى.
قراءة كامل الموضوع read more
2 + 1 =
منذ 7 شهور   نشر في  ٢٠٢٥/٠٩/١١ م
الغاز الطبيعي في الطبقات الجوفية يتواجد تحت ضغط مرتفع بسبب وزن الصخور فوقه. عند حفر بئر واختراق المكمن، يندفع الغاز تلقائياً نحو السطح بفعل فرق الضغط بين باطن الأرض والجو. هذه الظاهرة تعتمد على قانون باسكال الذي يصف انتقال الضغط في السوائل والغازات، حيث يتوزع الضغط بالتساوي في جميع الاتجاهات. مع انخفاض الضغط تدريجياً، تُستخدم المضخات وتقنيات الحقن للحفاظ على تدفق الغاز.
قراءة كامل الموضوع read more
2 + 9 =
منذ 7 شهور   نشر في  ٢٠٢٥/٠٩/١١ م
فيزيائياً يعتمد استخراج النفط على فرق الضغط بين الخزان الجوفي وسطح الأرض، حيث يتحرك النفط خلال مسامات الصخور وفق قانون دارسي الذي يصف سريان الموائع في الأوساط المسامية. كلما كانت نفاذية الصخور أكبر ولزوجة النفط أقل زاد معدل التدفق. في البداية يدفع الضغط الطبيعي داخل المكمن النفط نحو البئر، لكن مع انخفاضه يُستخدم الحقن بالماء أو الغاز لزيادة الضغط ودفع النفط المتبقي. هذه العمليات تستند إلى مبادئ ميكانيكا الموائع والثرموديناميك لضمان استمرار الإنتاج بكفاءة.
قراءة كامل الموضوع read more
6 + 2 =