

تاريخ الرياضيات

الاعداد و نظريتها

تاريخ التحليل

تار يخ الجبر

الهندسة و التبلوجي


الرياضيات في الحضارات المختلفة

العربية

اليونانية

البابلية

الصينية

المايا

المصرية

الهندية


الرياضيات المتقطعة

المنطق

اسس الرياضيات

فلسفة الرياضيات

مواضيع عامة في المنطق


الجبر

الجبر الخطي

الجبر المجرد

الجبر البولياني

مواضيع عامة في الجبر

الضبابية

نظرية المجموعات

نظرية الزمر

نظرية الحلقات والحقول

نظرية الاعداد

نظرية الفئات

حساب المتجهات

المتتاليات-المتسلسلات

المصفوفات و نظريتها

المثلثات


الهندسة

الهندسة المستوية

الهندسة غير المستوية

مواضيع عامة في الهندسة

التفاضل و التكامل


المعادلات التفاضلية و التكاملية

معادلات تفاضلية

معادلات تكاملية

مواضيع عامة في المعادلات


التحليل

التحليل العددي

التحليل العقدي

التحليل الدالي

مواضيع عامة في التحليل

التحليل الحقيقي

التبلوجيا

نظرية الالعاب

الاحتمالات و الاحصاء

نظرية التحكم

بحوث العمليات

نظرية الكم

الشفرات

الرياضيات التطبيقية

نظريات ومبرهنات


علماء الرياضيات

500AD

500-1499

1000to1499

1500to1599

1600to1649

1650to1699

1700to1749

1750to1779

1780to1799

1800to1819

1820to1829

1830to1839

1840to1849

1850to1859

1860to1864

1865to1869

1870to1874

1875to1879

1880to1884

1885to1889

1890to1894

1895to1899

1900to1904

1905to1909

1910to1914

1915to1919

1920to1924

1925to1929

1930to1939

1940to the present

علماء الرياضيات

الرياضيات في العلوم الاخرى

بحوث و اطاريح جامعية

هل تعلم

طرائق التدريس

الرياضيات العامة

نظرية البيان
FUZZY SETS-Characteristics of Crisp Set
المؤلف:
Kwang H. Lee
المصدر:
First Course on Fuzzy Theory and Applications
الجزء والصفحة:
5-7
4-7-2016
1341
Characteristics of Crisp Set
1.1 Ordinary Characteristics
Let us look over the operational characteristics of union, intersection, and complement set [Table 1.1]. Commutativity of union and intersection is
satisfied as follows

The operations of intersection and union follows the associativity

Union or intersection between itselves is reduced to the set itself. This is ‘idempotency’.

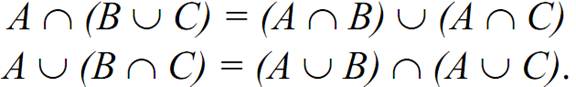
In addition, for union and intersection, the distributivity is held.

De Morgan’s law is satisfied with the union, intersection and complement operation.

Table 1.1. Features of Crisp Set

Table 1.1. (cont’)

1.2 Convex Set
Definition (Convex set) The term convex is applicable to a set A in Rn(n-dimensional Euclidian vector space) if the followings are satisfied.
i) Two arbitrary points s and r are defined in A.

(N is a set of positive integers)
ii) For arbitrary real number λ between 0 and 1, point t is involved in A where t is


Fig. 1.1. Convex sets A1, A2, A3 and non-convex sets A4, A5, A6 in |R2
In other wads, if every point on the line connecting two points s and r in A is also in A. (Fig 1.1) shows some examples of convex and non-convex
Sets
____________________________________________________________________________________________________
Kwang H. Lee, First Course on Fuzzy Theory and Applications, 2005, Springer, pag(5-7)
الاكثر قراءة في الضبابية
اخر الاخبار
اخبار العتبة العباسية المقدسة
الآخبار الصحية

قسم الشؤون الفكرية يصدر كتاباً يوثق تاريخ السدانة في العتبة العباسية المقدسة
"المهمة".. إصدار قصصي يوثّق القصص الفائزة في مسابقة فتوى الدفاع المقدسة للقصة القصيرة
(نوافذ).. إصدار أدبي يوثق القصص الفائزة في مسابقة الإمام العسكري (عليه السلام)