

تاريخ الرياضيات

الاعداد و نظريتها

تاريخ التحليل

تار يخ الجبر

الهندسة و التبلوجي


الرياضيات في الحضارات المختلفة

العربية

اليونانية

البابلية

الصينية

المايا

المصرية

الهندية


الرياضيات المتقطعة

المنطق

اسس الرياضيات

فلسفة الرياضيات

مواضيع عامة في المنطق


الجبر

الجبر الخطي

الجبر المجرد

الجبر البولياني

مواضيع عامة في الجبر

الضبابية

نظرية المجموعات

نظرية الزمر

نظرية الحلقات والحقول

نظرية الاعداد

نظرية الفئات

حساب المتجهات

المتتاليات-المتسلسلات

المصفوفات و نظريتها

المثلثات


الهندسة

الهندسة المستوية

الهندسة غير المستوية

مواضيع عامة في الهندسة

التفاضل و التكامل


المعادلات التفاضلية و التكاملية

معادلات تفاضلية

معادلات تكاملية

مواضيع عامة في المعادلات


التحليل

التحليل العددي

التحليل العقدي

التحليل الدالي

مواضيع عامة في التحليل

التحليل الحقيقي

التبلوجيا

نظرية الالعاب

الاحتمالات و الاحصاء

نظرية التحكم

بحوث العمليات

نظرية الكم

الشفرات

الرياضيات التطبيقية

نظريات ومبرهنات


علماء الرياضيات

500AD

500-1499

1000to1499

1500to1599

1600to1649

1650to1699

1700to1749

1750to1779

1780to1799

1800to1819

1820to1829

1830to1839

1840to1849

1850to1859

1860to1864

1865to1869

1870to1874

1875to1879

1880to1884

1885to1889

1890to1894

1895to1899

1900to1904

1905to1909

1910to1914

1915to1919

1920to1924

1925to1929

1930to1939

1940to the present

علماء الرياضيات

الرياضيات في العلوم الاخرى

بحوث و اطاريح جامعية

هل تعلم

طرائق التدريس

الرياضيات العامة

نظرية البيان
FUZZY SETS-Definition of Fuzzy Set
المؤلف:
Kwang H. Lee
المصدر:
First Course on Fuzzy Theory and Applications
الجزء والصفحة:
7-14
5-7-2016
2685
Definition of Fuzzy Set
1.1 Expression for Fuzzy Set
Membership function μ A in crisp set maps whole members in universal set X to set {0,1}.
μ A : X→{0, 1}.
Definition (Membership function of fuzzy set) In fuzzy sets, each elements is mapped to [0,1] by membership function.
μ A : X →[0, 1]
where [0,1] means real numbers between 0 and 1 (including 0,1).
Consequently, fuzzy set is ‘vague boundary set’ comparing with crisp set.
Example 1.1 (see Fig 1.1 and 1.2) show the difference between the crisp and fuzzy sets represented by membership functions, respectively.
Example 1.2 Consider fuzzy set ‘two or so’. In this instance, universal set X are the positive real numbers.
X = {1, 2, 3, 4, 5, 6, ….}
Membership function for A =’two or so’ in this universal set X is given as follows:


Fig. 1.1. Graphical representation of crisp set

Fig. 1.2. Graphical representation of fuzzy set
Usually, if elements are discrete as the above, it is possible to have membership degree or grade as

be sure to notice that the symbol ‘+’ implies not addition but union. More generally, we use

Suppose elements are continuous, then the set can be represented as follows:

For the discrimination of fuzzy set with crisp set, the symbol A~ is frequently used. However in this book, just notation A is used for it.
1.2 Examples of Fuzzy Set
Example 1.3 We consider statement "Jenny is young". At this time, the term "young" is vague. To represent the meaning of "vague" exactly, it
would be necessary to define its membership function as in Fig 1.2. When we refer "young", there might be age which lies in the range [0,80] and we
can account these "young age" in these scope as a continuous set.
The horizontal axis shows age and the vertical one means the numerical value of membership function. The line shows possibility (value of
membership function) of being contained in the fuzzy set "young".
For example, if we follow the definition of "young" as in the figure, ten year-old boy may well be young. So the possibility for the "age ten” to join
the fuzzy set of "young is 1. Also that of "age twenty seven" is 0.9. But we might not say young to a person who is over sixty and the possibility of
this case is 0.
Now we can manipulate our last sentence to "Jenny is very young". In order to be included in the set of "very young", the age should be lowered
and let us think the line is moved leftward as in the figure. If we define fuzzy set as such, only the person who is under forty years old can be
included in the set of "very young". Now the possibility of twenty-seven year old man to be included in this set is 0.5.
That is, if we denote A= "young" and B="very young",

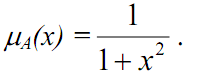
Example 1.4 Let’s define a fuzzy set A ={real number near 0}. The boundary for set “real number near 0” is pretty ambiguous. The possibility
of real number x to be a member of prescribed set can be defined by the following membership function.

Fig. 1.3. Fuzzy sets representing “young” and “very young”

Fig. 1.4. Membership function of fuzzy set “real number near 0”
Fig 1.4 shows this membership function. We can also write the fuzzy set with the function.

The membership degree of 1 is
the possibility of 2 is 0.2 and that of 3 is 0.1.
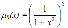
Example 1.5 Another fuzzy set A ={real number very near 0} can be defined and its membership function is

the possibility of 1 is 0.25, that of 2 is 0.04 and of 3 is 0.01 (Fig 1.5).
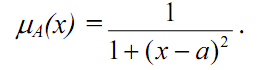
By modifying the above function, it is able to denote membership function of fuzzy set A = {real number near a} as,


Fig. 1.5. Membership function for “real number very near to 0”
1.3 Expansion of Fuzzy Set
Definition (Type-n Fuzzy Set) The value of membership degree might include uncertainty. If the value of membership function is given by a
fuzzy set, it is a type-2 fuzzy set. This concept can be extended up to Type-n fuzzy set.
Example 1.6 Consider set A= “adult”. The membership function of this set maps whole age to “youth”, “manhood” and “senior”(Fig 1.6). For
instance, for any person x, y, and z,

The values of membership for “youth” and “manhood” are also fuzzy sets , and thus the set “adult” is a type-2 fuzzy set. The sets “youth” and “manhood” are type-1 fuzzy sets. In the same
manner, if the values of membership function of “youth” and “manhood” are type-2, the set “adult” is type-3.
Definition (Level-k fuzzy set) The term “level-2 set” indicates fuzzy sets whose elements are fuzzy sets (Fig 1.7). The term “level-1 set” is applicable to fuzzy sets whose elements are no fuzzy sets ordinary
elements. In the same way, we can derive up to level-k fuzzy set.

Fig. 1.6. Fuzzy Set of Type-2

Fig. 1.7. Level-2 Fuzzy Set
Example 1.7 In the figure, there are 3 fuzzy set elements.

1.4 Relation between Universal Set and Fuzzy Set
If there are a universal set and a crisp set, we consider the set as a subset of the universal set. In the same way, we regard a fuzzy set A as a subset of
universal set X.
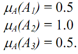
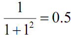
Example 1.8 Let X = {a, b, c} be a universal set.
A1 = {(a, 0.5), (b, 1.0), (c, 0.5)} and A2 = {(a, 1.0), (b, 1.0), (c, 0.5)}
would be subsets of X.
A1 ⊆ X , A2 ⊆X.
The collection of these subsets of X (including fuzzy set) is called power set P(X).
Kwang H. Lee, First Course on Fuzzy Theory and Applications, 2005, Springer, pag(7-14)
الاكثر قراءة في الضبابية
اخر الاخبار
اخبار العتبة العباسية المقدسة
الآخبار الصحية

قسم الشؤون الفكرية يصدر كتاباً يوثق تاريخ السدانة في العتبة العباسية المقدسة
"المهمة".. إصدار قصصي يوثّق القصص الفائزة في مسابقة فتوى الدفاع المقدسة للقصة القصيرة
(نوافذ).. إصدار أدبي يوثق القصص الفائزة في مسابقة الإمام العسكري (عليه السلام)