

تاريخ الرياضيات

الاعداد و نظريتها

تاريخ التحليل

تار يخ الجبر

الهندسة و التبلوجي


الرياضيات في الحضارات المختلفة

العربية

اليونانية

البابلية

الصينية

المايا

المصرية

الهندية


الرياضيات المتقطعة

المنطق

اسس الرياضيات

فلسفة الرياضيات

مواضيع عامة في المنطق


الجبر

الجبر الخطي

الجبر المجرد

الجبر البولياني

مواضيع عامة في الجبر

الضبابية

نظرية المجموعات

نظرية الزمر

نظرية الحلقات والحقول

نظرية الاعداد

نظرية الفئات

حساب المتجهات

المتتاليات-المتسلسلات

المصفوفات و نظريتها

المثلثات


الهندسة

الهندسة المستوية

الهندسة غير المستوية

مواضيع عامة في الهندسة

التفاضل و التكامل


المعادلات التفاضلية و التكاملية

معادلات تفاضلية

معادلات تكاملية

مواضيع عامة في المعادلات


التحليل

التحليل العددي

التحليل العقدي

التحليل الدالي

مواضيع عامة في التحليل

التحليل الحقيقي

التبلوجيا

نظرية الالعاب

الاحتمالات و الاحصاء

نظرية التحكم

بحوث العمليات

نظرية الكم

الشفرات

الرياضيات التطبيقية

نظريات ومبرهنات


علماء الرياضيات

500AD

500-1499

1000to1499

1500to1599

1600to1649

1650to1699

1700to1749

1750to1779

1780to1799

1800to1819

1820to1829

1830to1839

1840to1849

1850to1859

1860to1864

1865to1869

1870to1874

1875to1879

1880to1884

1885to1889

1890to1894

1895to1899

1900to1904

1905to1909

1910to1914

1915to1919

1920to1924

1925to1929

1930to1939

1940to the present

علماء الرياضيات

الرياضيات في العلوم الاخرى

بحوث و اطاريح جامعية

هل تعلم

طرائق التدريس

الرياضيات العامة

نظرية البيان
FUZZY SETS-Sets
المؤلف:
Kwang H. Lee
المصدر:
First Course on Fuzzy Theory and Applications
الجزء والصفحة:
1-3
4-7-2016
1501
Sets
1.1 Elements of Sets
An universal set X is defined in the universe of discourse and it includes all possible elements related with the given problem. If we define a set A in
the universal set X, we see the following relationships
In this case, we say a set A is included in the universal set X. If A is not included in X, this relationship is represented as follows.
If an elementx is included in the setA, this element is called as a member of the set and the following notation is used.
x ∊ A.
If the elementx is not included in the setA, we use the following notation.
x ∉ A.
In general, we represent a set by enumerating its elements. For example, elements a1, a2, a3,….., an are the elements of set A, it is represented as
A = {a1 , a2 ,….. , an }.
Another representing method of sets is given by specifying the conditions of elements. For example, if the elements of set B should satisfy
the conditions P1, P2,….., Pn, then the set B is defined by the following.
B = {b | b satisfies p1, p 2,…. , pn }.
In this case the symbol “|” implies the meaning of “such that”.
1.2 Relation between Sets
A set consists of sets is called a family of sets. For example, a family set containing sets A1, A2,….is represented by

where i is a set identifier and I is an identification set. If all the elements in set A are also elements of set B, A is a subset of B.

The symbol ⟹means “implication”. If the following relation is satisfied,
A ⊆ B and B ⊆A
A andB have the same elements and thus they are the same sets. This relation is denoted by
A = B
If the following relations are satisfied between two sets A and B,
A ⊆ B and A ≠ B
then B has elements which is not involved in A. In this case, A is called a proper subset of B andthis relation is denoted by
A ⊂ B
A set that has no element is called an empty set ⏀. An empty set can be a subset of any set.
1.3 Membership
If we use membership function (characteristic function or discrimination function), we can represent whether an element x is involved in a set A or not.
Definition (Membership function) For a set A, we define a membership function
maps the elements in the universal set X to the set {0,1}.

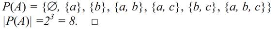
As we know, the number of elements in a setA is denoted by the cardinality |A|. A power set P(A) is a family set containing the subsets of
set A. Therefore the number of elements in the power set P(A) is represented by
|P(A)| = 2|A| .
Example 1.1 If A = {a, b, c}, then |A| = 3

Kwang H. Lee, First Course on Fuzzy Theory and Applications, 2005, Springer,pag(1-3)
الاكثر قراءة في الضبابية
اخر الاخبار
اخبار العتبة العباسية المقدسة
الآخبار الصحية

قسم الشؤون الفكرية يصدر كتاباً يوثق تاريخ السدانة في العتبة العباسية المقدسة
"المهمة".. إصدار قصصي يوثّق القصص الفائزة في مسابقة فتوى الدفاع المقدسة للقصة القصيرة
(نوافذ).. إصدار أدبي يوثق القصص الفائزة في مسابقة الإمام العسكري (عليه السلام)