
تاريخ الفيزياء

علماء الفيزياء


الفيزياء الكلاسيكية

الميكانيك

الديناميكا الحرارية


الكهربائية والمغناطيسية

الكهربائية

المغناطيسية

الكهرومغناطيسية


علم البصريات

تاريخ علم البصريات

الضوء

مواضيع عامة في علم البصريات

الصوت


الفيزياء الحديثة


النظرية النسبية

النظرية النسبية الخاصة

النظرية النسبية العامة

مواضيع عامة في النظرية النسبية

ميكانيكا الكم

الفيزياء الذرية

الفيزياء الجزيئية


الفيزياء النووية

مواضيع عامة في الفيزياء النووية

النشاط الاشعاعي


فيزياء الحالة الصلبة

الموصلات

أشباه الموصلات

العوازل

مواضيع عامة في الفيزياء الصلبة

فيزياء الجوامد


الليزر

أنواع الليزر

بعض تطبيقات الليزر

مواضيع عامة في الليزر


علم الفلك

تاريخ وعلماء علم الفلك

الثقوب السوداء


المجموعة الشمسية

الشمس

كوكب عطارد

كوكب الزهرة

كوكب الأرض

كوكب المريخ

كوكب المشتري

كوكب زحل

كوكب أورانوس

كوكب نبتون

كوكب بلوتو

القمر

كواكب ومواضيع اخرى

مواضيع عامة في علم الفلك

النجوم

البلازما

الألكترونيات

خواص المادة


الطاقة البديلة

الطاقة الشمسية

مواضيع عامة في الطاقة البديلة

المد والجزر

فيزياء الجسيمات


الفيزياء والعلوم الأخرى

الفيزياء الكيميائية

الفيزياء الرياضية

الفيزياء الحيوية

الفيزياء والفلسفة

الفيزياء العامة


مواضيع عامة في الفيزياء

تجارب فيزيائية

مصطلحات وتعاريف فيزيائية

وحدات القياس الفيزيائية

طرائف الفيزياء

مواضيع اخرى
معادلة العدسة الرقيقة
المؤلف:
فريدريك بوش ، دافيد جيرد
المصدر:
اساسيات الفيزياء
الجزء والصفحة:
11-1-2016
17727
معادلة العدسة الرقيقة
يعتبر رسم الأشعة، أسلوباً مقيداً لتخطيط العلاقة بين الصورة والجسم. إلا أننا نود أن نطرح وسيلة تحليلية لتناول مفيداً لتناول هذه العلاقة. وسنبدأ هذه العملية بدراسة الصورة المتكونة بواسطة العدسة المبين في الشكل 1)). المثلثان. ABH و EBD في الشكل (أ) متشابهان ولذا يمكننا أن نكتب الآتي:


الشكل 1)): المثلثان ABH و EBD متشابهان وكذلك المثلثان JFB و EDF.
وقد استخدمنا نفس الرموز لعد الجسم وبعد الصورة مثلما فعلنا في حالة المرايا. ومن المثلثين المتشابهين JFB و EDF في الجزء (ب) نحصل على :

وبمساواة المعادلتين وإجراء بعض الاختصارات:
(1) 
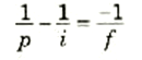
هذه العلاقة هي نفس معادلة المرايا بالضبط ولذلك أعطيناها نفس الرقم. وقد اعتبرنا p موجباً بالنسبة لجسم أمام العدسة واعتبرنا i موجباً بالنسبة للصورة الحقيقية المتكونة خلف العدسة.
أما بالنسبة للعدسات المفرقة فيمكننا اشتقاق العلاقة بالإشارة إلى مجموعات المثلثات المتشابهة في الشكل 2)). ونجد عندئذ

وبمساواة هاتين المعادلتين وإجراء الاختصارات نجد أن

ونستطيع جعل هذه المعادلة متطابقة مع المعادلة 1)) إذا اتفقنا على قاعدة الإشارات المستخدمة لكل من f و p و i:
لكي نستخدم المعادلة (1) لجميع مواقف العدسات.
1ـ بعد الجسم P موجب إذا كان الجسم أمام العدسة وسالبة إذا كان خلفها (سوف نتناول القيم السالبة لبعد الجسم في القسم التالي).
2- بعد الصورة i موجب إذا تكونت الصورة خلف العدسة (صورة حقيقية) وسالب إذا تكونت الصورة أمام العدسة( صورة تقديرية).
3- البعد البؤري موجب بالنسبة لعدسة مجمعة وسالب لعدسة مفرقة.

الشكل 2)): إن أخذ المثلثان المتشابهة في الاعتبار، يؤدي إلى معادلة الرقيقة بالنسبة للعدسات المفرقة.
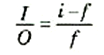
ونستطيع بمساعدة قاعدة الإشارات أن نضع تعريفاً للتكبير كما فعلنا مع المرايا:
(2) 
ومرة أخرى، تتيح الإشارة السالبة لنا أن نحدد الصور المقلوبة على أنها ذات القيم السالبة للتكبير M والصور المعتدلة ستكون M موجبة بالنسبة لها.
والمشاهدات العامة التالية ذات فائدة عند تناول مسائل العدسات:
1ـ تكون العدسات المفرقة دائماً صوراً تقديرية معتدلة ومصغرة إذا كان الجسم حقيقياً مهما كان موقع الجسم أمام العدسة.
2- تكون العدسة المجمعة صورة حقيقية مقلوبة للجسم الحقيقي إذا كان ذلك الجسم موضوعاً أبعد من النقطة البؤرية للعدسة. أما إذا كان الجسم أقرب من النقطة البؤرية فإن الصورة المتكونة تكون تقديرية ومعتدلة.
الاكثر قراءة في مواضيع عامة في علم البصريات
اخر الاخبار
اخبار العتبة العباسية المقدسة
الآخبار الصحية

قسم الشؤون الفكرية يصدر كتاباً يوثق تاريخ السدانة في العتبة العباسية المقدسة
"المهمة".. إصدار قصصي يوثّق القصص الفائزة في مسابقة فتوى الدفاع المقدسة للقصة القصيرة
(نوافذ).. إصدار أدبي يوثق القصص الفائزة في مسابقة الإمام العسكري (عليه السلام)