
تاريخ الفيزياء

علماء الفيزياء


الفيزياء الكلاسيكية

الميكانيك

الديناميكا الحرارية


الكهربائية والمغناطيسية

الكهربائية

المغناطيسية

الكهرومغناطيسية


علم البصريات

تاريخ علم البصريات

الضوء

مواضيع عامة في علم البصريات

الصوت


الفيزياء الحديثة


النظرية النسبية

النظرية النسبية الخاصة

النظرية النسبية العامة

مواضيع عامة في النظرية النسبية

ميكانيكا الكم

الفيزياء الذرية

الفيزياء الجزيئية


الفيزياء النووية

مواضيع عامة في الفيزياء النووية

النشاط الاشعاعي


فيزياء الحالة الصلبة

الموصلات

أشباه الموصلات

العوازل

مواضيع عامة في الفيزياء الصلبة

فيزياء الجوامد


الليزر

أنواع الليزر

بعض تطبيقات الليزر

مواضيع عامة في الليزر


علم الفلك

تاريخ وعلماء علم الفلك

الثقوب السوداء


المجموعة الشمسية

الشمس

كوكب عطارد

كوكب الزهرة

كوكب الأرض

كوكب المريخ

كوكب المشتري

كوكب زحل

كوكب أورانوس

كوكب نبتون

كوكب بلوتو

القمر

كواكب ومواضيع اخرى

مواضيع عامة في علم الفلك

النجوم

البلازما

الألكترونيات

خواص المادة


الطاقة البديلة

الطاقة الشمسية

مواضيع عامة في الطاقة البديلة

المد والجزر

فيزياء الجسيمات


الفيزياء والعلوم الأخرى

الفيزياء الكيميائية

الفيزياء الرياضية

الفيزياء الحيوية

الفيزياء والفلسفة

الفيزياء العامة


مواضيع عامة في الفيزياء

تجارب فيزيائية

مصطلحات وتعاريف فيزيائية

وحدات القياس الفيزيائية

طرائف الفيزياء

مواضيع اخرى
تكوين الصور بالمرايا المحدبة
المؤلف:
فريدريك بوش ، دافيد جيرد
المصدر:
اساسيات الفيزياء
الجزء والصفحة:
11-1-2016
112930
تكوين الصور بالمرايا المحدبة
المرآة الكرية المحدبة هي جزء من كرة، يعكس الأشعة من السطح الخارجي كما هو موضع في الشكل (1 ب)، حيث نرى كيف تنعكس الأشعة المتوازية من على تلك المرآة. وتبدو الأشعة كما لو كانت متفرقة من نقطة تقع خلف المرآة. تنعكس الأشعة الساقطة على مرآة محدبة وموازية لمحورها الرئيسي، كما لو كانت قادمة من النقطة البؤرية. ولكي نبرهن على ذلك فإننا نسلك نفس الطريق كما فعلنا مع المرآة المقعرة.

الشكل 1)): (أ) يتجمع الضوء المنعكس للأشعة المتوازية الساقطة على مرآة مقعرة عن البؤرة F أمام المرآة ، (ب) أما الأشعة المتوازية الساقطة فتنعكس من على مرآة محدبة بحيث تبدو متفرقة من نقطة البؤرة F خلف المرآة.
بالرجوع إلى الشكل (2) فإننا نلاحظ من قانون الانعكاس ومن هندسة الشكل أن عدة زوايا متساوية فيما بينها. والمثلث AFC متساوي الساقين وهكذا فإن AF = FC، فإذا كان الضلع AB صغيراً بالمقارنة مع نصف قطر انحناء المرآة فإن AF يساوي بالتقريب BF. ومن ثم يكون BF مساوياً تقريباً FC وهنا أيضاً يكون البعد البؤري في منتصف المسافة بين المرآة ومركز انحنائها.

الشكل 2)): ينعكس الشعاع الساقط موازياً للمحور كما لو كان قادماً من النقطة البؤرية للمرآة المحدبة.

الشكل 3)): ان عليك أن تكون قادراً على رسم الأشعة الثلاثة في أية حالة بها مرآة محدبة.
نستطيع بناء على ذلك ــ أن نكتب القواعد اللازمة لرسم الأشعة الثلاثة الخاصة بالنسبة لمرآة محدبة:
1ـ ينعكس الشعاع الموازي للمحور كما لو كان قادماً من النقطة البؤرية(أو البؤرة).
2- ينعكس الشعاع المتجه نحو مركز انحناء المرآة مرتداً على نفسه.
3- ينعكس الشعاع المتجه نحو مركز انحناء المرآة مرتداً على نفسه.
ويوضح الشكل 3)) هذه الأشعة الثلاث وعليك تبعها لتتأكد من انها تتفق مع هذه القواعد. يلاحظ أن الأشعة الثلاثة المنعكسة تبدو كما لو كانت قادمة من الصورة I خلف المرآة. وكما نرى فالصورة تقديرية، معتدلة ومصغرة.
إذا رجعنا إلى الشكل 4)) لاستطعنا أن نحصل على العلاقات الجبرية المستخدمة في تحديد موقع الصورة بالنسبة للمرآة المحدبة. وعليك إثبات أن المثلث ABH يشبه المثلث EBD في الجزء(أ). وان المثلث IFG يشبه المثلث EFD في الجزء(ب). فإذا ثبت أن هذا صحيح لأمكننا ان نوجد المعادلات التالية مثلما حدث في معادلة المرآة المقعرة:

وقد اعتبرنا المسافة BG مهملة جداً لصغرها، عند كتابة هذه المعادلات.
بمساواة هاتين المعادلتين وأخذ المقلوب ثم القسمة على i وإعادة ترتيب الحدود نحصل على ما يلي:

يلاحظ أنه ــ بغض النظر عن الإشارات ـ فالمعادلة هي نفسها للمرآة المقعرة وينبهنا اختلاف الإشارات إلى حقيقة أن الصورة في هذه الحالة تقع خلف المرآة، وليس أمامها. وإضافة إلى ذلك فإن الحد المشتمل على البعد البؤري السالب هو نتيجة إلى أن المرآة محدبة ليست مقعرة.

الشكل 4)): المثلثان ABH و EBD متشابهان وكذلك المثلثان EFD و JGF وقد افترضنا أن المسافة FG مساوية بالضرورة للمسافة FB.
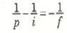
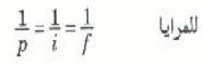
يمكننا أن نضع قواعد تسمح لنا باستخدام المعادلة 1)) بالنسبة للمرايا المحدبة أيضاً، بدلاً من تذكر معادلتي المرآتين. وإذا اتفقنا على أن نجعل بعد الصورة الواقعة خلف المرآة، أي بعد الصورة التقديرية، سالباً دائماً، لأمكننا أن نحذف الإشارة السالبة من الحد المشتمل على i في معادلة المرآة المحدبة. وعلاوة على ذلك، إذا جعلنا البعد البؤري للمرآة المحدبة سالباً دائماً لأمكننا أن نحذف الإشارة السالبة الأخرى أيضاً. ونستطيع ــ من ثم ــ أن نكتب ما يلي لجميع المرايا:
(1) 
حيث تم الاتفاق على :
1ـ يكون بعد الجسم موجباً إذا وقع الجسم أمام المرآة وسالباً في أي وضع آخر.
2- يكون بعد الصورة موجباً إذا وقعت الصورة أمام المرآة (صورة حقيقية) وسالباً فيما عدا ذلك (صورة تقديرية).
3- يكون البعد البؤري موجباً بالنسبة لمرآة مقعرة وسالباً لمرآة محدبة.
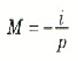
ونستطيع أن نتوسع في استخدام قاعدة الإشارات لتحديد ما إذا كانت الصورة معتدلة أم مقلوبة بالنسبة للجسم. وسنكتب معادلة التكبير بإشارة سالبة:
(2) 
وليس للإشارة الاختيارية التي وضعناها أما التكبير أي علاقة بالأحجام النسبية للجسم والصورة، وإن كنا نستطيع أن نستخدمها لتحدد لنا ما إذا كانت الصورة معتدلة أو مقلوبة. ونلاحظ من الأمثلة السابقة أنه عندما تكون الصورة حقيقية فإنها تكون مقلوبة أيضاً ويكون بعد الصورة i موجباً. وبما أن كلاً من P و i موجبان فإن النسبة M = -i/p تكون سالبة. أما إذا كانت الصورة تقديرية فإنها تكون معتدلة ويكون البعد i سالباً وهذا يجعل النسبة M = -i/p موجبة. دعنا الآن نلخص هذه المعلومة فيما يلي:
إذا كان التكبير موجباً فالصورة معتدلة بالنسبة للجسم، وإذا كان M سالباً فالصورة مقلوبة.
ويمكنك ملاحظة أنه من المهم جداً ــ من المعادلتين (1) و (2) ــ أن نستخدم الإشارات الصحيحة. .ومن المهم أيضاً وبنفس الدرجة أن نفسر معنى الإشارات التي تظهر في نتائج الحسابات.
الاكثر قراءة في مواضيع عامة في علم البصريات
اخر الاخبار
اخبار العتبة العباسية المقدسة
الآخبار الصحية

قسم الشؤون الفكرية يصدر كتاباً يوثق تاريخ السدانة في العتبة العباسية المقدسة
"المهمة".. إصدار قصصي يوثّق القصص الفائزة في مسابقة فتوى الدفاع المقدسة للقصة القصيرة
(نوافذ).. إصدار أدبي يوثق القصص الفائزة في مسابقة الإمام العسكري (عليه السلام)