
تاريخ الفيزياء

علماء الفيزياء


الفيزياء الكلاسيكية

الميكانيك

الديناميكا الحرارية


الكهربائية والمغناطيسية

الكهربائية

المغناطيسية

الكهرومغناطيسية


علم البصريات

تاريخ علم البصريات

الضوء

مواضيع عامة في علم البصريات

الصوت


الفيزياء الحديثة


النظرية النسبية

النظرية النسبية الخاصة

النظرية النسبية العامة

مواضيع عامة في النظرية النسبية

ميكانيكا الكم

الفيزياء الذرية

الفيزياء الجزيئية


الفيزياء النووية

مواضيع عامة في الفيزياء النووية

النشاط الاشعاعي


فيزياء الحالة الصلبة

الموصلات

أشباه الموصلات

العوازل

مواضيع عامة في الفيزياء الصلبة

فيزياء الجوامد


الليزر

أنواع الليزر

بعض تطبيقات الليزر

مواضيع عامة في الليزر


علم الفلك

تاريخ وعلماء علم الفلك

الثقوب السوداء


المجموعة الشمسية

الشمس

كوكب عطارد

كوكب الزهرة

كوكب الأرض

كوكب المريخ

كوكب المشتري

كوكب زحل

كوكب أورانوس

كوكب نبتون

كوكب بلوتو

القمر

كواكب ومواضيع اخرى

مواضيع عامة في علم الفلك

النجوم

البلازما

الألكترونيات

خواص المادة


الطاقة البديلة

الطاقة الشمسية

مواضيع عامة في الطاقة البديلة

المد والجزر

فيزياء الجسيمات


الفيزياء والعلوم الأخرى

الفيزياء الكيميائية

الفيزياء الرياضية

الفيزياء الحيوية

الفيزياء والفلسفة

الفيزياء العامة


مواضيع عامة في الفيزياء

تجارب فيزيائية

مصطلحات وتعاريف فيزيائية

وحدات القياس الفيزيائية

طرائف الفيزياء

مواضيع اخرى
المكثفات المتصلة معاً على التوالي وعلى التوازي
المؤلف:
فريدريك بوش ، دافيد جيرد
المصدر:
اساسيات الفيزياء
الجزء والصفحة:
6-1-2016
42578
المكثفات المتصلة معاً على التوالي وعلى التوازي
نود أن نعرف مقادير السعات الكلية الفعالية لهذه التنويعات .
سنقوم أولاً بتوصيل ثلاثة مكثفات ببطارية فولطيتها V كما هو موضح في الشكل (1 أ). وها ما يطلق عليه التوصيل على التوازي. كيف إذن يتم جمع السعات المنفردة ؟ أو بتعبير آخر ما هي السعة الوحيدة C التي تكافئ المجموعة المتصلة على التوازي؟

الشكل ((1
لاحظ ان الألواح الثلاثة إلى اليسار متصلة معاً بواسطة سلك يصل إلى الطرف الموجب للبطارية ؛ ولهذا لابد أن تكون الألواح الثلاثة كلها عند نفس الجهد. وبالمثل ، فإن ألواح المكثف إلى اليمين لابد وان يكون لها نفس الجهد مثل الطرف السالب للبطارية. ونستطيع ، إذن أن نخرج بالنتيجة التالية:
إن الجهد عبر كل المكثفات المتصلة على التوازي لابد أن يكون نفس الجهد.
وفي الحالة الموضحة في الشكل (1 أ) ، فإن الجهد عبر كل مكثف V سيكون هو نفسه فولطية البطارية.
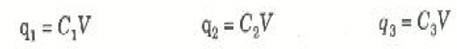
وتعطى شحنة كل مكثف تعريفات السعة.

والشحنة الكلية على الألواح اليسرى هي qtot = q1+q2+q3 أما الشحنة الكلية على الألواح اليمنى فهي نفس الشحنة ولكن بإشارة سالبة. والمكثف الذي يكافئ الثلاثة الموضحة في الشكل ((1 سوف يختزن شحنة مقدارها qtot عند فولطية مقدارها V:

وقد استعملنا هنا حقيقة أن q1/V = C1 وبالمثل بالنسبة للمكثفين C2 و C3.
ونستطيع ان نعمم هذه النتيجة بالنسبة لعدد n من المكثفات المتصلة على التوازي.
(1) Ceq = C1 +C2 + C3+…….+ Cn
ويوضح الشكل (1 ب) ثلاثة مكثفات متصلة معاً من اطرافها. ويطلق على هذا النوع من التوصيل على التوالي. وسنقوم بإيجاد السعة الكلية المكافئة لهذه المجموعة.
عند توصيل هذه المجموعة ببطارية ذات فولطية مقدارها V كما هو موضح فإن اللوح الأيسر للمكثف C1 سيكون عند نقس جهد الطرف الموجب للبطارية ، والطرف الأيمن للمكثف C3 سيكون عند نفس جهد الطرف السالب. وعلى هذا تكون الفولطية V هي الجهد عبر المجموعة المتصلة معاً على التوالي بأكملها. ويكتسب اللوحان المذكوران الشحنات +q و-q على الترتيب. وهذا ما يجعل الشحنات +q و -q تستحث على الألواح المتبقية للمكثفات كما هو موضح في الشكل (1 ب). ولكي تتأكد من صحة هذا ، لاحظ أنه في غياب أي اتصال خارجي ، فلن توجد شحنة صافية على الألواح الداخلية. واللوح الأيمن للمكثف C1 اللوح الأيسر للمكثف C2 يكونان معاً موصلاً منفرداً متعادلاً عندما يتصلان. ويقال نفس الشيء عن اللوحين الداخليين الآخرين. أي أن كل ما يمكن للبطارية عمله هو ان تستحث فصلاً للشحنات بين هذه الألواح. وعلى هذا نستطيع أن نستخرج النتيجة التالية حول المكثفات المتصلة معاً على التوالي:
يحمل كل مكثف متصل ببطارية ضمن مجموعة من المكثفات المتصلة على التوالي نفس كمية الشحنة.
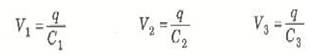
وحيث أن الشحنات متساوية ، لذا فالمكثفات المنفردة لابد وأن يكون عبرها فولطيات ( فرق جهد) مختلفة:

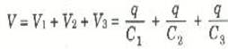
وعلاوة على ذلك فإن الفولطيات الثلاث تعطى حين تجمع إلى بضعها الفولطية الكلية V:

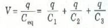
والمكثف المنفرد المكافئ سيكتسب الشحنة q من البطارية ذات الفولطية V ومن ثم
V = q/Ceq وبمساواة هذين التعبيرين عن V نجد أن:

وعند اختصار المقدار q من طرفي المعادلة وتعميم النتيجة على عدد n من المكثفات المتصلة على التوالي فإن:
(2) 
وبعد أن تجمع المقلوبات ، تذكر أن تقلب المجموع حتى تحصل على .Ceq وهذا هو الخطأ الوحيد الأكثر شيوعاً في هذا النوع من الحساب. وفيما يلي اختبار مفيد للإجابة في حالة التوصيل على التوالي:
لابد وأن تكون Ceq أصغر من أي من المكثف المنفردة في المجموعة المتصلة معاً على التوالي.
الاكثر قراءة في الكهربائية
اخر الاخبار
اخبار العتبة العباسية المقدسة
الآخبار الصحية

قسم الشؤون الفكرية يصدر كتاباً يوثق تاريخ السدانة في العتبة العباسية المقدسة
"المهمة".. إصدار قصصي يوثّق القصص الفائزة في مسابقة فتوى الدفاع المقدسة للقصة القصيرة
(نوافذ).. إصدار أدبي يوثق القصص الفائزة في مسابقة الإمام العسكري (عليه السلام)