
تاريخ الفيزياء

علماء الفيزياء


الفيزياء الكلاسيكية

الميكانيك

الديناميكا الحرارية


الكهربائية والمغناطيسية

الكهربائية

المغناطيسية

الكهرومغناطيسية


علم البصريات

تاريخ علم البصريات

الضوء

مواضيع عامة في علم البصريات

الصوت


الفيزياء الحديثة


النظرية النسبية

النظرية النسبية الخاصة

النظرية النسبية العامة

مواضيع عامة في النظرية النسبية

ميكانيكا الكم

الفيزياء الذرية

الفيزياء الجزيئية


الفيزياء النووية

مواضيع عامة في الفيزياء النووية

النشاط الاشعاعي


فيزياء الحالة الصلبة

الموصلات

أشباه الموصلات

العوازل

مواضيع عامة في الفيزياء الصلبة

فيزياء الجوامد


الليزر

أنواع الليزر

بعض تطبيقات الليزر

مواضيع عامة في الليزر


علم الفلك

تاريخ وعلماء علم الفلك

الثقوب السوداء


المجموعة الشمسية

الشمس

كوكب عطارد

كوكب الزهرة

كوكب الأرض

كوكب المريخ

كوكب المشتري

كوكب زحل

كوكب أورانوس

كوكب نبتون

كوكب بلوتو

القمر

كواكب ومواضيع اخرى

مواضيع عامة في علم الفلك

النجوم

البلازما

الألكترونيات

خواص المادة


الطاقة البديلة

الطاقة الشمسية

مواضيع عامة في الطاقة البديلة

المد والجزر

فيزياء الجسيمات


الفيزياء والعلوم الأخرى

الفيزياء الكيميائية

الفيزياء الرياضية

الفيزياء الحيوية

الفيزياء والفلسفة

الفيزياء العامة


مواضيع عامة في الفيزياء

تجارب فيزيائية

مصطلحات وتعاريف فيزيائية

وحدات القياس الفيزيائية

طرائف الفيزياء

مواضيع اخرى
الطاقة المختزنة في مكثف مشحون
المؤلف:
فريدريك بوش ، دافيد جيرد
المصدر:
اساسيات الفيزياء
الجزء والصفحة:
6-1-2016
44683
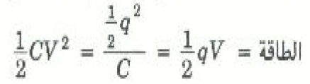
الطاقة المختزنة في مكثف مشحون
يختزن المكثف المشحون طاقة وضع كهربية بداخله. ونحن عرف حقيقة هذا لأن إحدى شحنتيه تكتسب حين تنطلق من أحد لوحيه ، طاقة حركة عند انتقالها إلى الوح الآخر. ونستطيع أن نحصل على مقدار الطاقة المختزنة في المكثف المشحون وذلك بحساب الشغل الذي على البطارية بذله لتوصيل الشحنة إلى اللوحين.
سننظر على عملية الشحن على أنها تلك التي تكون فيها الشحنة النهائية q قد تمت على هيئة أجزاء صغيرة من الشحنة qΔ توصيلها إلى اللوحين وعند البداية لم يكن هناك فرق للجهد عبر اللوحين غير المشحونين ولذا تصل الدفعة الأولى من qΔ دون بذل أي شغل. أما qΔ التالية فتحاج إلى بذل شغل عليها نظراً لتكون فولطية q/CΔ عبر اللوحين. وهكذا فإن الدفعات المتتالية من qΔ ستتطلب المزيد من الشغل لأن فرق الجهد يأخذ في الزيادة بإطراد نتيجة تراكم الشحنات على اللوحين.. وتحتاج آخر دفعة من qΔ إلى شغل مقداره qVΔ ، حيث V هو فرق الجهد النهائي عبر اللوحين المشحونين تماماً. وهذا يكون الشغل الكلي المبذول مكافئاً لتوصيل الشحنة بأكملها في وجود القيمة المتوسطة للفولطية ( فرق الجهد) خلال عملية الشحن. وهذه القيمة المتوسطة هي V½ ، ومن ثم تكون الطاقة المختزنة في مكثف مشحون هي:

حيث استخدمنا تعريف السعة C = q/V.
الاكثر قراءة في الكهربائية
اخر الاخبار
اخبار العتبة العباسية المقدسة
الآخبار الصحية

قسم الشؤون الفكرية يصدر كتاباً يوثق تاريخ السدانة في العتبة العباسية المقدسة
"المهمة".. إصدار قصصي يوثّق القصص الفائزة في مسابقة فتوى الدفاع المقدسة للقصة القصيرة
(نوافذ).. إصدار أدبي يوثق القصص الفائزة في مسابقة الإمام العسكري (عليه السلام)