Reactions of the CO ligand
المؤلف:
Peter Atkins, Tina Overton, Jonathan Rourke, Mark Weller, and Fraser Armstrong
المصدر:
Shriver and Atkins Inorganic Chemistry ,5th E
الجزء والصفحة:
ص557-558
2025-10-02
350
Reactions of the CO ligand
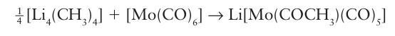
Key points: The C atom of CO is susceptible to attack by nucleophiles if it is attached to a metal atom that is electron poor; the O atom of CO is susceptible to attack by electrophiles in electron-rich carbonyls. The C atom of CO is susceptible to attack by nucleophiles if it is attached to a metal atom that is not electron rich. Thus, terminal carbonyls with high CO stretching frequencies are liable to attack by nucleophiles. The d electrons in these neutral or cationic metal carbonyls are not extensively delocalized on to the carbonyl C atom and so that atom can be at tacked by electron-rich reagents. For example, strong nucleophiles (such as methyllithium, Section 11.17) attack the CO in many neutral metal carbonyl compounds:

The resulting anionic acyl compound reacts with carbocation reagents to produce a stable and easily handled neutral product:

The product of this reaction, with a direct MC bond, is a Fischer carbene (Section 22.15). The attack of a nucleophile on the C atom is also important for the mechanism of the hydroxide-induced dissociation of metal carbonyls:

In electron-rich metal carbonyls, considerable electron density is delocalized on the CO ligand. As a result, in some cases the O atom of a CO ligand is susceptible to attack by electrophiles. Once again, IR data provide an indication of when this type of reaction should be expected, as a low CO stretching frequency indicates significant backdonation to the CO ligand and hence appreciable electron density on the O atom. Thus, a bridging carbonyl is particularly susceptible to attack at the O atom:

The attachment of an electrophile to the oxygen of a CO ligand, as in the structure on the right of this equation, promotes migratory insertion reactions (Section 22.24) and C O cleavage reactions. The ability of some alkyl-substituted metal carbonyls to undergo a migratory insertion reaction to give acyl ligands, (CO)R, is discussed in detail in Section 22.24.

الاكثر قراءة في مواضيع عامة في الكيمياء العضوية
اخر الاخبار
اخبار العتبة العباسية المقدسة