التوصيلية عبر الصمام الثنائي
المؤلف:
د/محمد فاروق أحمد و د/محمد خضر كاتب
المصدر:
أسس الإلكترونيات
الجزء والصفحة:
62
31-8-2021
2297
التوصيلية عبر الصمام الثنائي
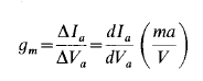
وهي تبين كيفية تغير التيار الأنودي عند تغير جهد الأنود بمقدار فولت واحد ، أي أنها عبارة عن معدل تغير التيار الأنودي بتغير جهد الأنود. فإذا كان التغير في تيار الأنود ΔIa قد نتج عن تغير في جهد الأنود قيمته ΔVa تكون توصيلية الصمام هي

ووحدتها عبارة عن مللي أمبير/فولت .
وتحدد توصيلية الصمام من المميزة الإستاتيكية له بإستخدام نقطتين على المميزة حيث يتم تحديد مقدار التغير في التيار والتغير المقابل له في الجهد بين هاتين النقطتين وكما هو واضح من المميزة الإستاتيكية للصمام (شكل 1) تعتمد التوصيلية على قيمة الجهد الأنودي وتختلف عند القيم المختلفة للجهد ولكنها تكاد تكون ثابتة في الجزء الخطي من المميزة . لذا فإن القيمة المعطاة لصمام ما تكون عبارة عن توصيليته في منتصف الجزء الخطي من المميزة الإستاتيكية .
وتعتمد قيمة التوصيلية على الأبعاد الهندسية للصمام مثل مساحة سطح الأنود والمسافة بينه وبين الكاثود . ويمكن تحديدها نظرياً من قانون تشايلد-لانغمير ولكن القيمة النظرية تكون غير دقيقة شأنها في ذلك شأن القانون نفسه .
الاكثر قراءة في الألكترونيات
اخر الاخبار
اخبار العتبة العباسية المقدسة