

علم الكيمياء

تاريخ الكيمياء والعلماء المشاهير

التحاضير والتجارب الكيميائية

المخاطر والوقاية في الكيمياء

اخرى

مقالات متنوعة في علم الكيمياء

كيمياء عامة


الكيمياء التحليلية

مواضيع عامة في الكيمياء التحليلية

التحليل النوعي والكمي

التحليل الآلي (الطيفي)

طرق الفصل والتنقية


الكيمياء الحياتية

مواضيع عامة في الكيمياء الحياتية

الكاربوهيدرات

الاحماض الامينية والبروتينات

الانزيمات

الدهون

الاحماض النووية

الفيتامينات والمرافقات الانزيمية

الهرمونات


الكيمياء العضوية

مواضيع عامة في الكيمياء العضوية

الهايدروكاربونات

المركبات الوسطية وميكانيكيات التفاعلات العضوية

التشخيص العضوي

تجارب وتفاعلات في الكيمياء العضوية


الكيمياء الفيزيائية

مواضيع عامة في الكيمياء الفيزيائية

الكيمياء الحرارية

حركية التفاعلات الكيميائية

الكيمياء الكهربائية


الكيمياء اللاعضوية

مواضيع عامة في الكيمياء اللاعضوية

الجدول الدوري وخواص العناصر

نظريات التآصر الكيميائي

كيمياء العناصر الانتقالية ومركباتها المعقدة


مواضيع اخرى في الكيمياء

كيمياء النانو

الكيمياء السريرية

الكيمياء الطبية والدوائية

كيمياء الاغذية والنواتج الطبيعية

الكيمياء الجنائية


الكيمياء الصناعية

البترو كيمياويات

الكيمياء الخضراء

كيمياء البيئة

كيمياء البوليمرات

مواضيع عامة في الكيمياء الصناعية

الكيمياء التناسقية

الكيمياء الاشعاعية والنووية
الاحماض الدهنية : (Fatty Acid)
المؤلف:
أ.د.عيسى عبد السعداوي
المصدر:
الكيمياء الحيوية النظري
الجزء والصفحة:
ص102-104
4-2-2016
38444
الاحماض الدهنية : (Fatty Acid) :
الأحماض الدهنية عبارة عن أحماض عضوية أليفاتية ذات سلسلة هيدروكاربونية طويلة احادية الكربوكسيل، لا تذوب في الماء ولكنها تذوب في المذيبات العضوية غير القطبية، وتعتبر الاحماض الدهنية الوحدة الأساسية في بناء العديد من اصناف اللبيدات. ويوجد في الطبيعة من الأحماض الدهنية ما يزيد على عشرين حامضاً دهنيا وهي تتواجد في الشحوم والزيوت الحيوانية والنباتية المختلفة الصالحة للاكل، وحيثما وجدت الاحماض الدهنية في الخلايا او الانسجة حرة او متحدة على شكل مركبات استرية فهي تحتوي على الاغلب عدداً زوجيا من ذرات الكربون. تمثل الصيغة (CnH2n + COOH) الصيغة الاولية للاحماض الدهنية المشبعة، وتحتوي بعض الاحماض الدهنية رابطة مزدوجة واحدة او أكثر (الاحماض الدهنية غير المشبعة)، تصنف الاحماض الدهنية عادة حسب طبيعة الجزء الهيدروكاربوني الى صنفين الأول يشمل الاحماض الدهنية المشبعة والنوع الثاني يشمل الاحماض الدهنية غير المشبعة والجدول التالي يبين عددا من الاحماض الشحمية المهمة الموجودة في الطبيعة، مشبعة أو غير مشبعة.

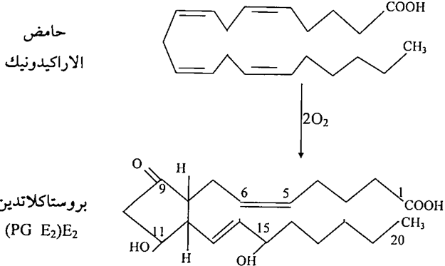
ونقسم الاحماض الشحمية غير المشبعة حسب درجة عدم التشبع، فهنالك الاحماض الشحمية التي تحتوي على رابطة مزدوجة واحدة وصيفتها الكيميائية العامة (CnH2n -1.COOH) مثل حامض الأولييك (Oliec Acid) والموجود تقريباً في جميع الدهون والزيوت. وهنالك الاحماض الشمحية التي تحتوي على رابطتين مزدوجتين وصيغتها الكيميائية العامة (CnH2n-3, COOH) مثل حامض الينولييك (Linoleic Acid) الموجودة في زيوت بذور العديد من النباتات كالحنطة والفستق (الفول السوداني) وفول الصويا والقطن. كما توجد أحماض شحمية تحتوي على ثلاثة روابط مزدوجة وصيفتها الكيميائية العامة (CnH2n-5.COOH) مثل حامض اللينولينيك (Linolenic Acid) الذي يوجد بوفرة مع حامض اللينولييك وخاصة في زيت بذرة الكتان. كذلك توجد أحماض شحمية تحتوي على أربعة روابط مزدوجة وصيغتها الكيميائية العامة (CnH2n-7,COOH)، مثل حامض الأراكيدونيك (Arachidonic Acid) والذي يكثر في زيت الفول السوداني.
وهنالك مجموعة من الاحماض الشحمية غير المشبعة تعرف بالبروستاكلاندينات (Prostaglandins) وهي مشتقة من حامض الأراكيدونيك الموجود في الفول السوداني وأحماض دهنية اخرى، وقد اكتشفت لأول مرة في السائل المنوي في غدة البروستات، ومن أهم أنواع هذه الحوامض الشحمية هي : (A, B, E, F) حيث يحتوي النوع (E) على مجموعة كيتونية والنوع (F) على مجموعة هيدروكسيلية، وتوجد أحماض البروستاكلاندين في معظم أجزاء الجسم، فهي توجد في السائل المنوي، والرئتين والدماغ والكبد والكريات الحمراء والعضلات.

تسمى الاحماض الشحمية وفق النظام العالمي (IUPAC) وفق اسم مصدرها الهيدروكاربوني واضعين المقطع (ويك) بعد الاسم الهيدروكاربوني على ان يسبق ذلك كلمة حامض. واعتماداً على هذه الاسس فيكون اسم الحامض الشحمي الذي يحتوي على (18) ذرة كربون : (حامض أوكتا ديكانويك) وحقيقة الأمر ان تسمية الاحماض الشحمية في الكيمياء الحياتية هي الاسماء الشائعة، وتعتمد التسمية حسب الاسماء الشائعة بكتابة أزاء الاسم، رقمان، بمثل الرقم الأول عدد ذرات الكربون بينما يمثل الرقم الذي يكتب على اليسار عدد الاواصر المزدوجة التي يحويها الحامض الشخصي، فالرمز (18 : 0) مثلا يعني ان لدينا حامضا شحميا يحتوي على (18) ذرة كاربون والرمز الذي على اليسار يعني ان هذا الحامض لا يحوي على اية اواصر غير مشبعة (اي انه حامض شحمي مشبع) بينما يمثل الرمز (18 : 2) حامضاً شحمياً يحتوي على (18) ذرة كاربون وفيه أصرتين مزدوجتين.
أما موقع الآصرة المزدوجة فإنه يمثل عادة بالرمز .... يعقبه رقم ذرة الكاربون التي ترتبط بالذرة اللاحقة لها بآصرة مزدوجة، كما يكتب أيضاً ان كان الترتيب الهندسي من نوع (سز، Cis) أو (ترانس، Trans). ولنأخذ المثال ........ يعني المثال ان الترتيب الهندسي لهذا الحامض الشحمي هو (سز) ترتبط ذرة الكربون رقم (9) فيه بآصرة مزدوجة مع ذرة الكربون رقم (10). اما الرمز (18 : 3 .سز9 Δ , سز12Δ , سز15Δ.) فانه يمثل حامضا شحميا يحتوي على (18) ذرة كربون وفيه ثلاثة أواصر مزدوجة ويكون الترتيب الهندسي حولها جميعاً من نوع (سز) وتنشأ الآصرة المزدوجة الأولى بين ذرة الكربون (9) و (10) والثانية بين الذرتين (12 و 13) والثالثة بين الذرة (15) والذرة (16). يتأين عادة الحامض الشحمي عند الرقم الهيدروجيني الفسيولوجي (7 = PH) لذلك فغالباً ما تكتب اعتمادا على مجموعتها الكربوكسيلية المتأنية، فيسمى حامض البالتيك باليتات (Palimitate)، وحامض الخليك بالخلات (Acetate) وهكذا بالنسبة لبقية الأحماض الشحمية.
الاكثر قراءة في الدهون
اخر الاخبار
اخبار العتبة العباسية المقدسة
الآخبار الصحية

قسم الشؤون الفكرية يصدر كتاباً يوثق تاريخ السدانة في العتبة العباسية المقدسة
"المهمة".. إصدار قصصي يوثّق القصص الفائزة في مسابقة فتوى الدفاع المقدسة للقصة القصيرة
(نوافذ).. إصدار أدبي يوثق القصص الفائزة في مسابقة الإمام العسكري (عليه السلام)