
تاريخ الفيزياء

علماء الفيزياء


الفيزياء الكلاسيكية

الميكانيك

الديناميكا الحرارية


الكهربائية والمغناطيسية

الكهربائية

المغناطيسية

الكهرومغناطيسية


علم البصريات

تاريخ علم البصريات

الضوء

مواضيع عامة في علم البصريات

الصوت


الفيزياء الحديثة


النظرية النسبية

النظرية النسبية الخاصة

النظرية النسبية العامة

مواضيع عامة في النظرية النسبية

ميكانيكا الكم

الفيزياء الذرية

الفيزياء الجزيئية


الفيزياء النووية

مواضيع عامة في الفيزياء النووية

النشاط الاشعاعي


فيزياء الحالة الصلبة

الموصلات

أشباه الموصلات

العوازل

مواضيع عامة في الفيزياء الصلبة

فيزياء الجوامد


الليزر

أنواع الليزر

بعض تطبيقات الليزر

مواضيع عامة في الليزر


علم الفلك

تاريخ وعلماء علم الفلك

الثقوب السوداء


المجموعة الشمسية

الشمس

كوكب عطارد

كوكب الزهرة

كوكب الأرض

كوكب المريخ

كوكب المشتري

كوكب زحل

كوكب أورانوس

كوكب نبتون

كوكب بلوتو

القمر

كواكب ومواضيع اخرى

مواضيع عامة في علم الفلك

النجوم

البلازما

الألكترونيات

خواص المادة


الطاقة البديلة

الطاقة الشمسية

مواضيع عامة في الطاقة البديلة

المد والجزر

فيزياء الجسيمات


الفيزياء والعلوم الأخرى

الفيزياء الكيميائية

الفيزياء الرياضية

الفيزياء الحيوية

الفيزياء والفلسفة

الفيزياء العامة


مواضيع عامة في الفيزياء

تجارب فيزيائية

مصطلحات وتعاريف فيزيائية

وحدات القياس الفيزيائية

طرائف الفيزياء

مواضيع اخرى
القصور الذاتي الدوراني
المؤلف:
فريدريك بوش ، دافيد جيرد
المصدر:
اساسيات الفيزياء
الجزء والصفحة:
الفصل 8
2-2-2016
60538
القصور الذاتي الدوراني
من المعلوم أن الأجسام المتحركة حركة دورانية لها قصور ذاتي. فبعد إطفاء موتور المروحة الكهربائي يلاحظ أن سرعة دوران الريش تقل تدريجياً بسبب قوة الاحتكاك الهوائي والاحتكاك في محامل محور الدوران إلى أن تصل المروحة إلى السكون. ويعتبر عزم القصور الذاتي I لريشة المروحة مقياساً لقصورها الذاتي الدوراني وهذا ما يمكن فهمه بالطريقة الآتية:
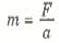
في الحركة الخطية يمثل القصور الذاتي لجسم ما بكتلته. ومن العلاقة F = ma نجد أن:

وعليه فإن الكتلة تخبرنا عن مقدار القوة اللازمة لتوليد عجلة خطية قدرها =1m/s2 α أي أنه كلما كان القصور الذاتي للجسم كبيراً كلما زادت كتلته وكلما القوة اللازمة لإعطائه عجلة قدرها 1 m/s2؟
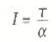
بالمثل، فإن النظير الدوراني للمعادلة F = ma ، أي المعادلة T = I α، تعطينا معلومات مشابهة عن عزم القصور الذاتي للجسم I:

أي ان عزم القصور الذاتي I يمثل مقدار عزم الدوران الذي يكسب الجسم عجلة زاوية قدرها = 1 rad/s2 α فالأجسام ذات القيم الكبيرة للكمية I تحتاج إلى عزوم دوران كبيرة لتغيير معدل دورانها. من الواضح إذن أن I مقياس للقصور الذاتي الدوراني لأي جسم.
الاكثر قراءة في الميكانيك
اخر الاخبار
اخبار العتبة العباسية المقدسة
الآخبار الصحية

قسم الشؤون الفكرية يصدر كتاباً يوثق تاريخ السدانة في العتبة العباسية المقدسة
"المهمة".. إصدار قصصي يوثّق القصص الفائزة في مسابقة فتوى الدفاع المقدسة للقصة القصيرة
(نوافذ).. إصدار أدبي يوثق القصص الفائزة في مسابقة الإمام العسكري (عليه السلام)