
تاريخ الفيزياء

علماء الفيزياء


الفيزياء الكلاسيكية

الميكانيك

الديناميكا الحرارية


الكهربائية والمغناطيسية

الكهربائية

المغناطيسية

الكهرومغناطيسية


علم البصريات

تاريخ علم البصريات

الضوء

مواضيع عامة في علم البصريات

الصوت


الفيزياء الحديثة


النظرية النسبية

النظرية النسبية الخاصة

النظرية النسبية العامة

مواضيع عامة في النظرية النسبية

ميكانيكا الكم

الفيزياء الذرية

الفيزياء الجزيئية


الفيزياء النووية

مواضيع عامة في الفيزياء النووية

النشاط الاشعاعي


فيزياء الحالة الصلبة

الموصلات

أشباه الموصلات

العوازل

مواضيع عامة في الفيزياء الصلبة

فيزياء الجوامد


الليزر

أنواع الليزر

بعض تطبيقات الليزر

مواضيع عامة في الليزر


علم الفلك

تاريخ وعلماء علم الفلك

الثقوب السوداء


المجموعة الشمسية

الشمس

كوكب عطارد

كوكب الزهرة

كوكب الأرض

كوكب المريخ

كوكب المشتري

كوكب زحل

كوكب أورانوس

كوكب نبتون

كوكب بلوتو

القمر

كواكب ومواضيع اخرى

مواضيع عامة في علم الفلك

النجوم

البلازما

الألكترونيات

خواص المادة


الطاقة البديلة

الطاقة الشمسية

مواضيع عامة في الطاقة البديلة

المد والجزر

فيزياء الجسيمات


الفيزياء والعلوم الأخرى

الفيزياء الكيميائية

الفيزياء الرياضية

الفيزياء الحيوية

الفيزياء والفلسفة

الفيزياء العامة


مواضيع عامة في الفيزياء

تجارب فيزيائية

مصطلحات وتعاريف فيزيائية

وحدات القياس الفيزيائية

طرائف الفيزياء

مواضيع اخرى
قانون التربيع العكسي للإشعاع
المؤلف:
فريدريك بوش ، دافيد جيرد
المصدر:
اساسيات الفيزياء
الجزء والصفحة:
18-1-2016
32844
قانون التربيع العكسي للإشعاع
أن شدة حزمة من الإشعاع تعرف بالطريقة الآتية فنتخيل مساحة ما A موضوعة بحيث تتعامد مع الحزمة كما في الشكل 1)). ولما كانت الحزمة (ولتكن حزمة ضوئية) تحمل طاقة في اتجاه انتشارها (وفي هذه الحالة إلى اليمين)، فإن قدراً معيناً من الطاقة سيمر عبر المساحة في وحدة الزمن ويكون تعريف شدة الضوء I ممثلاً بالعلاقة التالية:


الشكل (1): شدة حزمة من الضوء هي الطاقة المارة خلال وحدة المساحات في الثانية، على أن تكون الحزمة متعامدة مع المسلحة.
نفحص الطاقة المنبعثة من مصدر ضوئي صغير كالمبين في الشكل (2). وسنعتبر المصدر من الصغر بحيث يمكن اعتباره مصدراً نفطياً، وسنعتبره بعد ذلك مصدراً موحد الخواص، أي مصدر يبعث الضوء في كل اتجاه بالتساوي. ولكي نصف الطاقة التي تنطلق من هذا المصدر، سنتخيل سطحاً كروياً نصف قطرهr1 ويتحد مركزه مع المصدر الضوئي وسيكون I1 هو رمز شدة الضوء عن هذا السطح. كما أن الشدة لابد أن تكون متساوية عند جميع نقط الكرة لأننا اعتبرنا المصدر يبعث الضوء بالتساوي في جميع الاتجاهات، أي موحد الخواص. وبعبارة اخرى فإن I1 ستكون هي شدة الضوء عند نقطة تبعد r1 عن المصدر.
وحيث أن كرتنا التخيلية تحيط تماماً بالمصدر، فإن كل الطاقة المنبعثة من المصدر لابد وأن تعبر خلال سطح الكرة، الذي مساحته 4πr21والمعدل الكلي الذي يبعث به المصدر من الطاقة هو قدرة ذلك المصدر P، ومن هنا نستنتج أن الشدة على بعد r1 من المصدر هو

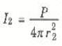
افترض الآن وجود كرة ثانية أكبر من الأولى ونصف قطرهاr2 ولها نفس مركز الكرة الأولى. وإذا تتبعنا نفس الاستدلال لوجدنا أن الشدة I2 عند مسافة مقدارهاr2 هي :


الشكل ((2: إذا كان مقدار القدرة التي يبعثها المصدر هو P فما هي قيم شدة الإشعاع عند المسافات r1 و r2؟
(كل ذلك بالطبع إذا اعتبرنا أنه لا يوجد امتصاص للطاقة عند انتقالها بعيداً عن المصدر) ويأخذ النسبة بين الشدتين نجد أن :
(1) 
وهذا هو ما يطلق عليه قانون التربيع العكسي لإشعاع الطاقة من مصدر نفطي.
وينص على أن شدة الضوء الصادر من مصدر ما تتناقص تبعاً لمقلوب مربع المسافة المقاسة بعيداً عن المصدر. ولو أننا ضاعفنا المسافة ثلاث مرات، مثلاً، بعيداً عن المصدر فإن شدة الضوء تتناقص بمعامل قدره 9.
الاكثر قراءة في الضوء
اخر الاخبار
اخبار العتبة العباسية المقدسة
الآخبار الصحية

قسم الشؤون الفكرية يصدر كتاباً يوثق تاريخ السدانة في العتبة العباسية المقدسة
"المهمة".. إصدار قصصي يوثّق القصص الفائزة في مسابقة فتوى الدفاع المقدسة للقصة القصيرة
(نوافذ).. إصدار أدبي يوثق القصص الفائزة في مسابقة الإمام العسكري (عليه السلام)