النشاط الضوئي (Optical Activity)
المؤلف:
أ.د.عيسى عبد السعداوي
المصدر:
الكيمياء الحيوية النظري
الجزء والصفحة:
ص 45-48
30-12-2015
36310
النشاط الضوئي (Optical Activity)
إضافة الى ما سبق ذكره في الفقرة (1.3.2) حول تأثير ذرات الكربون غير المتناسقة (Chiral-C-atom)، حيث يمكن ملاحظة ظاهرة التدوير الضوئي التي تتسبب في حدوثها ذرات الكاربون غير المتناسقة عند توجيه حزمة من الضوء المستقطب على محلول الكربوهيدرات والتي يتم قياس درجة تدويرها بواسطة جهاز (Polarimeter)، فيطلق على السكر الذي يحرف الضوء الى جهة اليمين (Dextrorotatory) ويرمز لها بعلاقة (+) والتي تحرف الضوء الى جهة اليسار (Levorotatory) ويرمز لها بعلاقة (-)، ولا تعتمد ظاهرة التدوير الضوئي على كون السكر من عائلة (D) او من عائلة (L) وإنما هي خاصية يتمتع بها المركب السكري المعني كما يلاحظ ذلك في تركيب سكر الكلوكوز وسكر الفركتوز.

لقد لوحظ ان التدوير الضوئي لمحلول سكر الكلوكوز (سكر الدم) المذاب مباشرة في الماء ينخفض بصورة تدريجية ليستقر عند حد معين، ويعتمد هذا التدوير على ظروف العينة المذابة، فعندما يتبلور الكلوكوز من الماء او الكحول المخفف بالماء في درجة حرارة الغرفة، فإن درجة التدوير النوعي الأولي
. تبدأ بالتناقص تدريجيا الى ان تثبت عند القيمة (52.6+)̊ ، أما اذا تبلور الكلوكوز في درجة حرارة تزيد على (C98)̊ فإن درجة تدوير نوعي أولي اخرى تظهر مقدارها (18.7̊+) تبدأ بالزيادة تدريجيا الى ان تصل عند القيمة (52.6+). وهذا التدوير التبديلي (Mutarotation) يلاحظ أيضاً في بعض محاليل السكريات الثنائية. ويستدل من هذه التجربة ان هنالك كما يبدو صورتان تركيبيتان من سكر الكلوكوز، تمتلك إحداهما التدوير الأعلى والأخرى تمتلك التدوير الأدنى وان التدوير الضوئي المتوسط يمثل حالة الاتزان بين الصورتين، وقد اطلق على هذه الظاهرة التي تتمتع بها السكريات الاحادية كافة عدا بعض سكريات الكيتوز بظاهرة تغيير التدوير الضوئي (Mutarotation) ويمكن توضيح حقيقة وجود هاتين الصورتين لسكر الكلوكوز بافتراض وجود الجسر الاوكسجيني الذي يربط بين ذرات الكربون رقم (1) وذرة الكربون رقم (5) حيث يلاحظ نتيجة ذلك اختفاء مجموعة الألديهيد الحرة عند ذرة الكربون رقم (1) لتتحول عندئذ ذرة الكربون رقم (1) الى ذرك كربون غير تناسقية، ويتضاعف بذلك عدد الايسومرات في مركب الكلوكوز، وكما هو موضح في الصور التالية لجزيئة الكلوكوز :

في الخليط السكري المتوازن لوحظ ان نسبة الشكل ألفا – D - كلوكوز تساوي تقريباً (36%) بينما تكون نسبة الشكل بيتا – D - كلوكوز تساوي تقريباً (64%) بينما يوجد الشكل المفتوح بنسبة لا تزيد عن (0.02%) وعلى الرغم من النسبة الضئيلة للشكل المفتوح الا أنها تعتبر كافية للاشتراك في معظم التفاعلات التي تختص بها مجموعة الألديهيد. اذ حالما تتفاعل هذه الكمية القليلة يتحول جزء صغير آخر الى الشكل المفتوح تمهيداً للمشاركة في التفاعل وهكذا تستمر هذه العملية بصورة تدريجية الى حين مشاركة كافة الجزيئات لسكر الكلوكوز في التفاعل المطلوب.
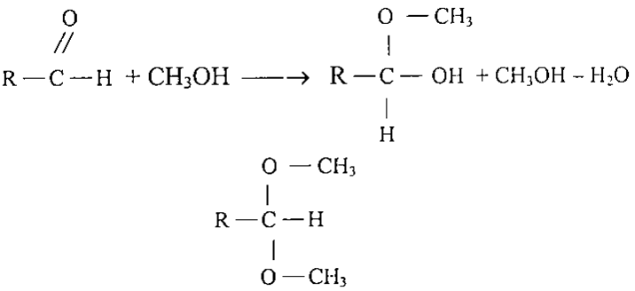
ان السكريات الاحادية الألديهيدية لا تسلك سلوك الألديهيدات العضوية في كل تفاعلاتها، اذ تفشل السكريات الأحادية الألديهيدية في التفاعل مع قواعد شيف (Schiff's Base) كما انها تتفاعل مع جزيئة واحدة فقط من الكحول المثيلي.

وبالإمكان تفسير هذا السلوك تجاه التفاعل مع جزيئة واحدة فقط من الكحول الايثيلي، وذلك بسبب حصول حركة التواء في التركيب المفتوح للسكريات الأحادية بحيث تقترب مجموعة الهيدروكسيل على موقع الكربون الخامسة (C5) من مجموعة الألديهيد على ذرة الكربون رقم واحد (C1) مما يتيح الاتحاد بينهما لتكوين الشكل الحلقي عبر الجسر الاوكسجيني المتشكل بين ذرة الكربون رقم (1) وذرة الكربون رقم (5) وكما هو موضح في التركيب التالي :

وقد اقترح هاورث (Haworth) اطلاق مصطلح البيرانوز (Pyranose) على السكريات الاحادية التي يربط فيها الجسر الاوكسجيني خمسة ذرات من الكربون استنادا الى التركيب العام لجزيئة البايران (Pyran)، بينما أطلق مصطلح الفيورانوز (Furanose) على السكريات التي يربط فيها الجسر الاوكسجيني أربع ذرات من الكربون اعتماداً على تركيب جزيئة الفيوران.

ويمكن كتابة التركيب الحلقي لسكر الكلوكوز على الشكل التالي :

أما سكر الفركتوز فإنه يوجد جزيئاً (20%) في صورة حلقة خماسية، تتكون بالهجوم النيوكليوفيلي لهيدروكسيل ذرة الكربون (C5) على مجموعة الكربونيل لذرة الكربون رقم (C2)، وينسب الشكل الحلقي الخماسي الناتج لسكر الفركتوز الى الأيثر الحلقي المسمى بالفيوران، وكما هو موضح في الشكل التالي :

الاكثر قراءة في الكاربوهيدرات
اخر الاخبار
اخبار العتبة العباسية المقدسة