
تاريخ الفيزياء

علماء الفيزياء


الفيزياء الكلاسيكية

الميكانيك

الديناميكا الحرارية


الكهربائية والمغناطيسية

الكهربائية

المغناطيسية

الكهرومغناطيسية


علم البصريات

تاريخ علم البصريات

الضوء

مواضيع عامة في علم البصريات

الصوت


الفيزياء الحديثة


النظرية النسبية

النظرية النسبية الخاصة

النظرية النسبية العامة

مواضيع عامة في النظرية النسبية

ميكانيكا الكم

الفيزياء الذرية

الفيزياء الجزيئية


الفيزياء النووية

مواضيع عامة في الفيزياء النووية

النشاط الاشعاعي


فيزياء الحالة الصلبة

الموصلات

أشباه الموصلات

العوازل

مواضيع عامة في الفيزياء الصلبة

فيزياء الجوامد


الليزر

أنواع الليزر

بعض تطبيقات الليزر

مواضيع عامة في الليزر


علم الفلك

تاريخ وعلماء علم الفلك

الثقوب السوداء


المجموعة الشمسية

الشمس

كوكب عطارد

كوكب الزهرة

كوكب الأرض

كوكب المريخ

كوكب المشتري

كوكب زحل

كوكب أورانوس

كوكب نبتون

كوكب بلوتو

القمر

كواكب ومواضيع اخرى

مواضيع عامة في علم الفلك

النجوم

البلازما

الألكترونيات

خواص المادة


الطاقة البديلة

الطاقة الشمسية

مواضيع عامة في الطاقة البديلة

المد والجزر

فيزياء الجسيمات


الفيزياء والعلوم الأخرى

الفيزياء الكيميائية

الفيزياء الرياضية

الفيزياء الحيوية

الفيزياء العامة


مواضيع عامة في الفيزياء

تجارب فيزيائية

مصطلحات وتعاريف فيزيائية

وحدات القياس الفيزيائية

طرائف الفيزياء

مواضيع اخرى
الطيوف الاهتزازية - الدورانية لجزيئات ثنائية الذرة
المؤلف:
الدكتور محمد انور بطل
المصدر:
الفيزياء الذرية والجزيئية
الجزء والصفحة:
ص 404
17-2-2022
2501
الطيوف الاهتزازية - الدورانية لجزيئات ثنائية الذرة
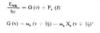
1- الطاقة الإهتزازية الدورانية:
تعطى علاقة الحد الطيفي الاهتزازي والدوراني ب

حيث α تعرف تغير ثابت العطالة مع الإهتزاز. عند أخفض سوية اهتزازية (0 = v) نجد:
2 - قواعد الاصطفاء في الإصدار والإمتصاص:
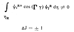
a) — حتى يكون الإنتقال مسموح يجب أن يكون في البداية مسموح بقاعدة الإصطفاء الإهتزازية فمن أجل XY كل الإنتقالات الاهتزازية مسموحة. وممنوعة في حالة X2. من بين الجزئيات ثنائية الذرة فقط الجزيئات ذات الذرات المتشابهه وX2 سيكون لها طيف اهتزازي – دوراني اصداري وامتصاص

الشكل (1)
b) - في حالة اهتزاز جزئية XY يوجد عزم الإنتقال الإهتزازي حسب oz. وقاعدة الاصطفاء الدورانية نحصل عليها من العلاقة:

والشكل (1) يعطي مخطط الإنتقال بين سويات الطاقة في هذه الحالة .
3- طيوف الإصدار والامتصاص :
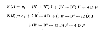
من أجل كل انتقال اهتزازي نحصل على سلسلة خطوط طيفية اهتزازية - دورانية بصورة عامة ندعوها الأفرع. O, P, Q, R, S وهي مميزة ب:

فالسلسلة المعرفة ب 1 + = ΔJ تدعى الفرع R والمعرفة 1 - = ΔJ تدعى الفرع P —الاعداد الموجية التابعة لهذا الفرعان تعطى بالعلاقتين :

حيث فرضنا أن "J = J. بتعويض في هاتين العلاقتين علاقة الحد الطيفي نجد :

تصبح :

حيث:

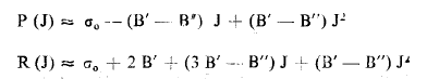
ترمز لمركز قطاع الاهتزاز- الدوران . اذا أهملنا تأثير تشويه الطرد المركزي (0 = D) تصبح المعادلات السابقة بالشكل :

ومن الممكن أن نكتب المعادلتان تحت شكل واحد :
مع:


الشكل (1)
الإنتقالات الاهتزازية - الدورانية (1)R(0), R و (2)P(1), P تعطى على الشكل (1) ومن المهم ملاحظة بأنه لايوجد خط طيفي P(0).
والشكل (2) يبين كيف تتراص الخطوط الطيفية أكثر فأكثر في الفرع R وأن الخطوط الطيفية تتراص أقل فأقل من الفرع P.

شكل (2)
4- طيوف رامان
الجزئيات ثنائية الذرة متشابهة أو غير متشابهة الذرات لها طيف تشتت رامان اهتزازي - دوراني.
الاكثر قراءة في الفيزياء الجزيئية
اخر الاخبار
اخبار العتبة العباسية المقدسة
الآخبار الصحية

قسم الشؤون الفكرية يصدر كتاباً يوثق تاريخ السدانة في العتبة العباسية المقدسة
"المهمة".. إصدار قصصي يوثّق القصص الفائزة في مسابقة فتوى الدفاع المقدسة للقصة القصيرة
(نوافذ).. إصدار أدبي يوثق القصص الفائزة في مسابقة الإمام العسكري (عليه السلام)