
تاريخ الفيزياء

علماء الفيزياء


الفيزياء الكلاسيكية

الميكانيك

الديناميكا الحرارية


الكهربائية والمغناطيسية

الكهربائية

المغناطيسية

الكهرومغناطيسية


علم البصريات

تاريخ علم البصريات

الضوء

مواضيع عامة في علم البصريات

الصوت


الفيزياء الحديثة


النظرية النسبية

النظرية النسبية الخاصة

النظرية النسبية العامة

مواضيع عامة في النظرية النسبية

ميكانيكا الكم

الفيزياء الذرية

الفيزياء الجزيئية


الفيزياء النووية

مواضيع عامة في الفيزياء النووية

النشاط الاشعاعي


فيزياء الحالة الصلبة

الموصلات

أشباه الموصلات

العوازل

مواضيع عامة في الفيزياء الصلبة

فيزياء الجوامد


الليزر

أنواع الليزر

بعض تطبيقات الليزر

مواضيع عامة في الليزر


علم الفلك

تاريخ وعلماء علم الفلك

الثقوب السوداء


المجموعة الشمسية

الشمس

كوكب عطارد

كوكب الزهرة

كوكب الأرض

كوكب المريخ

كوكب المشتري

كوكب زحل

كوكب أورانوس

كوكب نبتون

كوكب بلوتو

القمر

كواكب ومواضيع اخرى

مواضيع عامة في علم الفلك

النجوم

البلازما

الألكترونيات

خواص المادة


الطاقة البديلة

الطاقة الشمسية

مواضيع عامة في الطاقة البديلة

المد والجزر

فيزياء الجسيمات


الفيزياء والعلوم الأخرى

الفيزياء الكيميائية

الفيزياء الرياضية

الفيزياء الحيوية

الفيزياء العامة


مواضيع عامة في الفيزياء

تجارب فيزيائية

مصطلحات وتعاريف فيزيائية

وحدات القياس الفيزيائية

طرائف الفيزياء

مواضيع اخرى
تأثير الفعل المتبادل بين الدوران والاهتزاز
المؤلف:
الدكتور محمد انور بطل
المصدر:
الفيزياء الذرية والجزيئية
الجزء والصفحة:
ص 399
17-2-2022
2110
تأثير الفعل المتبادل بين الدوران والاهتزاز
إن تأثير الفعل المتبادل بين الدوران والاهتزاز يظهر بفعلين :
a) - الثابتة B ليست لان ثابتة العطالة عند التوازن بل هي ثابتة العطالة عند أخفض سوية اهتزازية أي:

وإن أخفض سوية اهتزازية هي :

وكما رأينا فإن Bo يمكن أن تعتبر كأنها القيمة المتوسطة الثابتة العطالة:

محسوبة على أخفض سوية اهتزازية.
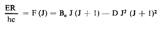
b) - يظهر حد أضافي متناسب مع 2(1 + J) J2 في علاقة الحد الطيفي الدوراني والذي يكتب:

الثابتة D موجية. تعطى D من أجل جزيء ثنائي الذرة بالعلاقة:

في هذه الحالة لم تعد الخطوط الطيفية الدورانية متساوية الأبعاد بل تتباعد بزيادة J.
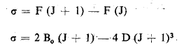
وضع الخطوط الطيفية لطيف الامتصاص والإصدار:
باستخدام قاعدة الإصطفاء 1 +=ΔJ نجد الأعداد الموجية للخطوط في الإصدار والامتصاص:

الاكثر قراءة في الفيزياء الجزيئية
اخر الاخبار
اخبار العتبة العباسية المقدسة
الآخبار الصحية

قسم الشؤون الفكرية يصدر كتاباً يوثق تاريخ السدانة في العتبة العباسية المقدسة
"المهمة".. إصدار قصصي يوثّق القصص الفائزة في مسابقة فتوى الدفاع المقدسة للقصة القصيرة
(نوافذ).. إصدار أدبي يوثق القصص الفائزة في مسابقة الإمام العسكري (عليه السلام)