
تاريخ الفيزياء

علماء الفيزياء


الفيزياء الكلاسيكية

الميكانيك

الديناميكا الحرارية


الكهربائية والمغناطيسية

الكهربائية

المغناطيسية

الكهرومغناطيسية


علم البصريات

تاريخ علم البصريات

الضوء

مواضيع عامة في علم البصريات

الصوت


الفيزياء الحديثة


النظرية النسبية

النظرية النسبية الخاصة

النظرية النسبية العامة

مواضيع عامة في النظرية النسبية

ميكانيكا الكم

الفيزياء الذرية

الفيزياء الجزيئية


الفيزياء النووية

مواضيع عامة في الفيزياء النووية

النشاط الاشعاعي


فيزياء الحالة الصلبة

الموصلات

أشباه الموصلات

العوازل

مواضيع عامة في الفيزياء الصلبة

فيزياء الجوامد


الليزر

أنواع الليزر

بعض تطبيقات الليزر

مواضيع عامة في الليزر


علم الفلك

تاريخ وعلماء علم الفلك

الثقوب السوداء


المجموعة الشمسية

الشمس

كوكب عطارد

كوكب الزهرة

كوكب الأرض

كوكب المريخ

كوكب المشتري

كوكب زحل

كوكب أورانوس

كوكب نبتون

كوكب بلوتو

القمر

كواكب ومواضيع اخرى

مواضيع عامة في علم الفلك

النجوم

البلازما

الألكترونيات

خواص المادة


الطاقة البديلة

الطاقة الشمسية

مواضيع عامة في الطاقة البديلة

المد والجزر

فيزياء الجسيمات


الفيزياء والعلوم الأخرى

الفيزياء الكيميائية

الفيزياء الرياضية

الفيزياء الحيوية

الفيزياء العامة


مواضيع عامة في الفيزياء

تجارب فيزيائية

مصطلحات وتعاريف فيزيائية

وحدات القياس الفيزيائية

طرائف الفيزياء

مواضيع اخرى
تأثير الفصل المتبادل بين الدوران والاهتزاز: جزيئات ذات تناظر محوري
المؤلف:
الدكتور محمد انور بطل
المصدر:
الفيزياء الذرية والجزيئية
الجزء والصفحة:
ص 368
15-2-2022
2406
تأثير الفصل المتبادل بين الدوران والاهتزاز: جزيئات ذات تناظر محوري
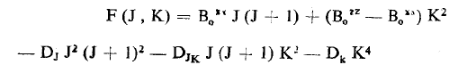
كما في الجزيئات الخطية الفعل المتبادل بين الدوران والاهتزاز يظهر بمفعولين :
a - ثوابت العطالة عند التوازن Bexx و Bezz يجب أن نستبدل ب Boxx و Bozz ثوابت العطالة في أخفض سوية اهتزازية.
b - يجب ادخال حد طيفي لتصحيح تشويه الطرد المركزي من المرتبة الثانية بالنسبة ل (1+J) J و K .
يكتب الحد الطيفي إذاً :

البنية الفوق ناعمة:
فرضنا سابقاً بأن طاقة الجزيء هي مجموعة طاقته الالكترونية Ee وطاقته الاهتزازية EV وطاقته الدورانية ER.
وبالحقيقة يجب اضافة حد Es (أصغر بكثير من ER) موافق للطاقة المرافقة مختلف توجيهات السبينات النووية في حقل كهرباني أو مغناطيسي ناتج عن الباقي من الجزيء. إن الطاقة Es محكمه والقيم المختلفة التي بمكن أن تأخذها تؤدي إلى تحليل سويات الطاقة الدورانية إلى سويات جزئية متراصة بين بعضها البعض وهذا ما يؤدي إلى البنية فوق الناعمة لجزيء .
إن البنية الفوق ناعمه هنا مشابهه البنية فوق الناعمة في الذرات إلا أن الأخيرة ناتجة عن وجود الذرات في حقل مغناطيسي أي اقتران I مع J في الجزيئات ناتجة عن ارتباط العزوم السبينية النووية مع باقي العزوم في الجزيئة وهي التي من أساس كهرباني.
الاكثر قراءة في الفيزياء الجزيئية
اخر الاخبار
اخبار العتبة العباسية المقدسة
الآخبار الصحية

قسم الشؤون الفكرية يصدر كتاباً يوثق تاريخ السدانة في العتبة العباسية المقدسة
"المهمة".. إصدار قصصي يوثّق القصص الفائزة في مسابقة فتوى الدفاع المقدسة للقصة القصيرة
(نوافذ).. إصدار أدبي يوثق القصص الفائزة في مسابقة الإمام العسكري (عليه السلام)