
تاريخ الفيزياء

علماء الفيزياء


الفيزياء الكلاسيكية

الميكانيك

الديناميكا الحرارية


الكهربائية والمغناطيسية

الكهربائية

المغناطيسية

الكهرومغناطيسية


علم البصريات

تاريخ علم البصريات

الضوء

مواضيع عامة في علم البصريات

الصوت


الفيزياء الحديثة


النظرية النسبية

النظرية النسبية الخاصة

النظرية النسبية العامة

مواضيع عامة في النظرية النسبية

ميكانيكا الكم

الفيزياء الذرية

الفيزياء الجزيئية


الفيزياء النووية

مواضيع عامة في الفيزياء النووية

النشاط الاشعاعي


فيزياء الحالة الصلبة

الموصلات

أشباه الموصلات

العوازل

مواضيع عامة في الفيزياء الصلبة

فيزياء الجوامد


الليزر

أنواع الليزر

بعض تطبيقات الليزر

مواضيع عامة في الليزر


علم الفلك

تاريخ وعلماء علم الفلك

الثقوب السوداء


المجموعة الشمسية

الشمس

كوكب عطارد

كوكب الزهرة

كوكب الأرض

كوكب المريخ

كوكب المشتري

كوكب زحل

كوكب أورانوس

كوكب نبتون

كوكب بلوتو

القمر

كواكب ومواضيع اخرى

مواضيع عامة في علم الفلك

النجوم

البلازما

الألكترونيات

خواص المادة


الطاقة البديلة

الطاقة الشمسية

مواضيع عامة في الطاقة البديلة

المد والجزر

فيزياء الجسيمات


الفيزياء والعلوم الأخرى

الفيزياء الكيميائية

الفيزياء الرياضية

الفيزياء الحيوية

الفيزياء العامة


مواضيع عامة في الفيزياء

تجارب فيزيائية

مصطلحات وتعاريف فيزيائية

وحدات القياس الفيزيائية

طرائف الفيزياء

مواضيع اخرى
سويات الطاقة لدائر خطي
المؤلف:
الدكتور محمد انور بطل
المصدر:
الفيزياء الذرية والجزيئية
الجزء والصفحة:
ص 360
15-2-2022
2288
سويات الطاقة لدائر خطي
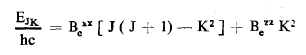
a) - إن معالجة الدائر الخطي أبسط من الدائر المتناظر حيث لا توجد الاحداثيات θ ,ψ لأن الزاوية φ لاتعرف دوران والحساب يعط الحد الطيفي التالي :

مع:
لنتذكر بأن (Izz = 0). الحالات الخاصة المرافقة للقيمة الخاصة EJ هي في الشكل:
..........(1)
(θ) H كثيرات حدود ليجندر و NJM ثابت التنظيم مع M| ≤ J| وحيث رتبة التوالد هي (2J + 1).
b) - يمكن ايجاد هذه النتيجة بدأ من الدائر المتناظر حيث نصادف الصعوبة عندما:

إلا أنه من أجل دائر خطي فإن محور الدوران يكون متعامد مع محور الدائرة وبالتالي فإن العزم الزاوي متعامد مع محور الجزيء شكل (1) و 0 = Pz ومنه نجد : K = 0.

الشكل (1)
الحد الثاني من العلاقة الاتية:

يبدو غير معين(0/0) لدائر خطي بالحقيقة فإن هذا الحد معدوم التي تعطي الهاملتيون لدائر متناظر تسمح بإعطاء النتيجة الصحيحة لسويات الطاقة لدائر خطي بشرط:
- حذف الحد من المرتبة 2 من الهامليتون.
- أخذ 0 = K.
أما الحالات الخاصة (1) للدائر الخطي فهي موافقة ψJOH حالات خاصة للدائر المتناظر حيث أخذنا 0 =K.
الاكثر قراءة في الفيزياء الجزيئية
اخر الاخبار
اخبار العتبة العباسية المقدسة
الآخبار الصحية

قسم الشؤون الفكرية يصدر كتاباً يوثق تاريخ السدانة في العتبة العباسية المقدسة
"المهمة".. إصدار قصصي يوثّق القصص الفائزة في مسابقة فتوى الدفاع المقدسة للقصة القصيرة
(نوافذ).. إصدار أدبي يوثق القصص الفائزة في مسابقة الإمام العسكري (عليه السلام)