
تاريخ الفيزياء

علماء الفيزياء


الفيزياء الكلاسيكية

الميكانيك

الديناميكا الحرارية


الكهربائية والمغناطيسية

الكهربائية

المغناطيسية

الكهرومغناطيسية


علم البصريات

تاريخ علم البصريات

الضوء

مواضيع عامة في علم البصريات

الصوت


الفيزياء الحديثة


النظرية النسبية

النظرية النسبية الخاصة

النظرية النسبية العامة

مواضيع عامة في النظرية النسبية

ميكانيكا الكم

الفيزياء الذرية

الفيزياء الجزيئية


الفيزياء النووية

مواضيع عامة في الفيزياء النووية

النشاط الاشعاعي


فيزياء الحالة الصلبة

الموصلات

أشباه الموصلات

العوازل

مواضيع عامة في الفيزياء الصلبة

فيزياء الجوامد


الليزر

أنواع الليزر

بعض تطبيقات الليزر

مواضيع عامة في الليزر


علم الفلك

تاريخ وعلماء علم الفلك

الثقوب السوداء


المجموعة الشمسية

الشمس

كوكب عطارد

كوكب الزهرة

كوكب الأرض

كوكب المريخ

كوكب المشتري

كوكب زحل

كوكب أورانوس

كوكب نبتون

كوكب بلوتو

القمر

كواكب ومواضيع اخرى

مواضيع عامة في علم الفلك

النجوم

البلازما

الألكترونيات

خواص المادة


الطاقة البديلة

الطاقة الشمسية

مواضيع عامة في الطاقة البديلة

المد والجزر

فيزياء الجسيمات


الفيزياء والعلوم الأخرى

الفيزياء الكيميائية

الفيزياء الرياضية

الفيزياء الحيوية

الفيزياء العامة


مواضيع عامة في الفيزياء

تجارب فيزيائية

مصطلحات وتعاريف فيزيائية

وحدات القياس الفيزيائية

طرائف الفيزياء

مواضيع اخرى
السويات الإهتزازية للجزيئات المتعددة الذرات
المؤلف:
الدكتور محمد انور بطل
المصدر:
الفيزياء الذرية والجزيئية
الجزء والصفحة:
ص 336
13-2-2022
1988
السويات الإهتزازية للجزيئات المتعددة الذرات
1 - الكمون التوافقي
إذا كان الكمون المستخدم توافقي فالطاقة الإهتزازية في الميكانيك الكلاسيكي لجزيئة هي عبارة عن مجموع الطاقات لمجموعة الهزازات التوافقية أحادية أو ثنائية البعد. الشيء ذاته بالنسبة لمكانيك الكم فلمعرفة سويات الطاقة الاهتزازية يكفي معرفة سويات الطاقة للهزازات التوافقية أحادية أو ثنائية أو ثلاثية البعد.
2 - الهزاز التوافقي أحادي البعد:
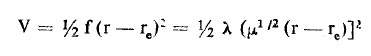
تعطى كافة طاقة الهزاز في الميكانيك الكلاسيكي بالعلاقة التالية :

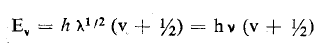
وسويات الطاقة الإهتزازية تعطى بالعلاقة التالية :

هذه السويات غير متوالده والتابع الخاص المرفقة هذه القيمة الخاصة هو (ψvs(Qs مع ملاحظة انه في حالة جزيئة ثنائية الذرة هناك اهتزاز طبيعي واحد فقط وبالتالي يمكن اهمال القرين s أي ان :

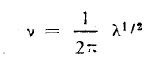
v تردد الهزاز الكلاسيكي والمساوي إلى:
و λ تعطى بالعلاقة:

تسمح العلاقة السابقة كتابة تابع الكمون بلجزيئة ثنائية الذرة بالشكل:

يكتب الإحداثي الطبيعي لجزيء ثنائي الذرة بالشكل:

الاكثر قراءة في الفيزياء الجزيئية
اخر الاخبار
اخبار العتبة العباسية المقدسة
الآخبار الصحية

قسم الشؤون الفكرية يصدر كتاباً يوثق تاريخ السدانة في العتبة العباسية المقدسة
"المهمة".. إصدار قصصي يوثّق القصص الفائزة في مسابقة فتوى الدفاع المقدسة للقصة القصيرة
(نوافذ).. إصدار أدبي يوثق القصص الفائزة في مسابقة الإمام العسكري (عليه السلام)