
تاريخ الفيزياء

علماء الفيزياء


الفيزياء الكلاسيكية

الميكانيك

الديناميكا الحرارية


الكهربائية والمغناطيسية

الكهربائية

المغناطيسية

الكهرومغناطيسية


علم البصريات

تاريخ علم البصريات

الضوء

مواضيع عامة في علم البصريات

الصوت


الفيزياء الحديثة


النظرية النسبية

النظرية النسبية الخاصة

النظرية النسبية العامة

مواضيع عامة في النظرية النسبية

ميكانيكا الكم

الفيزياء الذرية

الفيزياء الجزيئية


الفيزياء النووية

مواضيع عامة في الفيزياء النووية

النشاط الاشعاعي


فيزياء الحالة الصلبة

الموصلات

أشباه الموصلات

العوازل

مواضيع عامة في الفيزياء الصلبة

فيزياء الجوامد


الليزر

أنواع الليزر

بعض تطبيقات الليزر

مواضيع عامة في الليزر


علم الفلك

تاريخ وعلماء علم الفلك

الثقوب السوداء


المجموعة الشمسية

الشمس

كوكب عطارد

كوكب الزهرة

كوكب الأرض

كوكب المريخ

كوكب المشتري

كوكب زحل

كوكب أورانوس

كوكب نبتون

كوكب بلوتو

القمر

كواكب ومواضيع اخرى

مواضيع عامة في علم الفلك

النجوم

البلازما

الألكترونيات

خواص المادة


الطاقة البديلة

الطاقة الشمسية

مواضيع عامة في الطاقة البديلة

المد والجزر

فيزياء الجسيمات


الفيزياء والعلوم الأخرى

الفيزياء الكيميائية

الفيزياء الرياضية

الفيزياء الحيوية

الفيزياء العامة


مواضيع عامة في الفيزياء

تجارب فيزيائية

مصطلحات وتعاريف فيزيائية

وحدات القياس الفيزيائية

طرائف الفيزياء

مواضيع اخرى
الإهتزازات الطبيعية
المؤلف:
الدكتور محمد انور بطل
المصدر:
الفيزياء الذرية والجزيئية
الجزء والصفحة:
ص 319
13-2-2022
2056
الإهتزازات الطبيعية
في جزيئة متعددة الذرات تهتز الأنوية حول وضع توازنها (اهتزازات ذات سعة صغيرة) وسنبين كيف يمكن لهذه الاهتز ازات المعقدة أن تتحلل إلى مجموعة اهتزازات طبيعية. هذا التحليل يسمح بكتابة الطاقة الإهتزازية لجزيئة كمجموع طاقات عدد من الهزازات الهارمونية (التوافقية) مرفقة بكل اهتزاز طبيعي. وسنفرض بأن الجزيء عندما يهتز يؤدي إلى تغير في الشكل الهندسي والشكل (1) يعطي جزيئة رباعية الذرة والشكل (2) يمثل تشويه لشكل الجزيئة.

الشكل (1)

الشكل (2)
ولابعاد لحركة الإنتقالية لمجموعة سنفرض أن:
- المجموعة ثابتة في الفضاء
- لن نعتبر مجموعة أشعة الإنتقال كما هي ممثلة في الشكل (3)

الشكل (3)
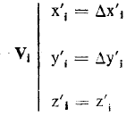
الشكل (4) يمثل الوضع اللحظي للنواة i ذات الكتلة Mi ووضع توازنها Mio لنفرض أن:

الشكل (4)


وشعاع السرع لهذه النواة هو:

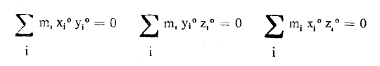
لنحدد بأي شكل مجموعة xyz بشكل التوازن للأنوية:
a) — مبدأ المجموعة (0) xyz مختلط مع مركز الجاذبية للتشكيل التوازني

b) — الاتجاهات xyz هي الإتجاهات الرئيسية لكمية حركة تشكيل التوازن :

الطاقة الحركية: تعطي الطاقة الحركية الإهتزازية بالعلاقة:

إذا أدخلنا احداثيات جديدة:

الإنسحاب الديكارتي يساوي:

والطاقة الحركية للإهتزاز تأخذ الشكل:

الاكثر قراءة في الفيزياء الجزيئية
اخر الاخبار
اخبار العتبة العباسية المقدسة
الآخبار الصحية

قسم الشؤون الفكرية يصدر كتاباً يوثق تاريخ السدانة في العتبة العباسية المقدسة
"المهمة".. إصدار قصصي يوثّق القصص الفائزة في مسابقة فتوى الدفاع المقدسة للقصة القصيرة
(نوافذ).. إصدار أدبي يوثق القصص الفائزة في مسابقة الإمام العسكري (عليه السلام)