

تاريخ الرياضيات

الاعداد و نظريتها

تاريخ التحليل

تار يخ الجبر

الهندسة و التبلوجي


الرياضيات في الحضارات المختلفة

العربية

اليونانية

البابلية

الصينية

المايا

المصرية

الهندية


الرياضيات المتقطعة

المنطق

اسس الرياضيات

فلسفة الرياضيات

مواضيع عامة في المنطق


الجبر

الجبر الخطي

الجبر المجرد

الجبر البولياني

مواضيع عامة في الجبر

الضبابية

نظرية المجموعات

نظرية الزمر

نظرية الحلقات والحقول

نظرية الاعداد

نظرية الفئات

حساب المتجهات

المتتاليات-المتسلسلات

المصفوفات و نظريتها

المثلثات


الهندسة

الهندسة المستوية

الهندسة غير المستوية

مواضيع عامة في الهندسة

التفاضل و التكامل


المعادلات التفاضلية و التكاملية

معادلات تفاضلية

معادلات تكاملية

مواضيع عامة في المعادلات


التحليل

التحليل العددي

التحليل العقدي

التحليل الدالي

مواضيع عامة في التحليل

التحليل الحقيقي

التبلوجيا

نظرية الالعاب

الاحتمالات و الاحصاء

نظرية التحكم

بحوث العمليات

نظرية الكم

الشفرات

الرياضيات التطبيقية

نظريات ومبرهنات


علماء الرياضيات

500AD

500-1499

1000to1499

1500to1599

1600to1649

1650to1699

1700to1749

1750to1779

1780to1799

1800to1819

1820to1829

1830to1839

1840to1849

1850to1859

1860to1864

1865to1869

1870to1874

1875to1879

1880to1884

1885to1889

1890to1894

1895to1899

1900to1904

1905to1909

1910to1914

1915to1919

1920to1924

1925to1929

1930to1939

1940to the present

علماء الرياضيات

الرياضيات في العلوم الاخرى

بحوث و اطاريح جامعية

هل تعلم

طرائق التدريس

الرياضيات العامة

نظرية البيان
Matrices
المؤلف:
Tony Crilly
المصدر:
50 mathematical ideas you really need to know
الجزء والصفحة:
225-230
25-2-2016
2302
This is the story of ‘extraordinary algebra’ – a revolution in mathematics which took place in the middle of the 19th century. Mathematicians had played with blocks of numbers for centuries, but the idea of treating blocks as a single number took off 150 years ago with a small group of mathematicians who recognized its potential.
Ordinary algebra is the traditional algebra in which symbols such as a, b, c, x and y represent single numbers. Many people find this difficult to understand, but for mathematicians it was a great step forward. In comparison, ‘extraordinary algebra’ generated a seismic shift. For sophisticated applications this progress from a one-dimensional algebra to a multiple dimensional algebra would prove incredibly powerful.
Multiple dimensioned numbers
In ordinary algebra a might represent a number such as 7, and we would write a = 7, but in matrix theory a matrix A would be a ‘multiple dimensioned number’ for example the block

This matrix has three rows and four columns (it’s a ‘3 by 4’ matrix), but in principle we can have matrices with any number of rows and columns – even a giant ‘100 by 200’ matrix with 100 rows and 200 columns. A critical advantage of matrix algebra is that we can think of vast arrays of numbers, such as a data set in statistics, as a single entity. More than this, we can manipulate these blocks of numbers simply and efficiently. If we want to add or multiply together all the numbers in two data sets, each consisting of 1000 numbers, we don’t have to perform 1000 calculations – we just have to perform one (adding or multiplying the two matrices together).
A practical example
Suppose the matrix A represents the output of the AJAX company in one week. The AJAX company has three factories located in different parts of the country and their output is measured in units (say 1000s of items) of the four products it produces. In our example, the quantities, tallying with matrix A opposite, are:

In the next week the production schedule might be different, but it could be written as another matrix B. For example B might be given by

What is the total production for both weeks? The matrix theorist says it is the matrix A + B where corresponding numbers are added together,

Easy enough. Sadly, matrix multiplication is less obvious. Returning to the AJAX company, suppose the unit profit of its four products are 3, 9, 8, 2. We can certainly compute the overall profit for Factory 1 with outputs 7, 5, 0, 1 of its four products. It works out as 7 × 3 + 5 × 9 + 0 × 8 + 1 × 2 = 68.
But instead of dealing with just one factory we can just as easily compute the total profits T for all the factories

Look carefully and you’ll see the row by column multiplication, an essential feature of matrix multiplication. If in addition to the unit profits we are given the unit volumes 7, 4, 1, 5 of each unit of the products, in one fell swoop we can calculate the profits and storage requirements for the three factories by the single matrix multiplication:

The total storage is provided by the second column of the resulting matrix, that is 74, 54 and 39. Matrix theory is very powerful. Imagine the situation of a company with hundreds of factories, thousands of products, and different unit profits and storage requirements in different weeks. With matrix algebra the calculations, and our understanding, are fairly immediate, without having to worry about the details which are all taken care of.
Matrix algebra vs ordinary algebra
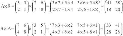
There are many parallels to be drawn between matrix algebra and ordinary algebra. The most celebrated difference occurs in the multiplication of matrices. If we multiply matrix A with matrix B and then try it the other way round:

So in matrix algebra we may have A × B and B × A being different, a situation which does not arise in ordinary algebra where the order of multiplying two numbers together makes no difference to the answer.
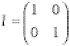
Another difference occurs with inverses. In ordinary algebra inverses are easy to calculate. If a= 7 its inverse is 1/7 because it has the property that 1/7 × 7 = 1. We sometimes write this inverse as a–1 = 1/7 and we have a−1 × a = 1.
An example in matrix theory is
and we can verify that 
because 

where
is called the identity matrix and is the matrix counterpart of 1 in ordinary algebra. In ordinary algebra, only 0 does not have an inverse but in matrix algebra many matrices do not have inverses.
Travel plans
Another example of using matrices is in the analysis of a flight network for airlines. This will involve both airport hubs and smaller airports. In practice this may involve hundreds of destinations – here we’ll look at a small example: the hubs London (L) and Paris (P), and smaller airports Edinburgh (E), Bordeaux (B), and Toulouse (T) and the network showing possible direct flights. To use a computer to analyse such networks, they are first coded using matrices. If there is a direct flight between airports a 1 is recorded at the intersection of the row and column labelled by these airports (like from London to Edinburgh). The ‘connectivity’ matrix which describes the network above is A.

The lower submatrix (marked out by the dotted lines) shows there are no direct links between the three smaller airports. The matrix product A × A = A2 of this matrix with itself can be interpreted as giving the number of possible journeys between two airports with exactly one stopover. So, for example, there are 3 possible roundtrips to Paris via other cities but no trips from London to Edinburgh which involve stopovers. The number of routes which are either direct or involve one stopover are the elements of the matrix A + A2. This is another example of the ability of matrices to capture the essence of a vast amount of data under the umbrella of a single calculation.

When a small group of mathematicians created the theory of matrices in the 1850s they did so to solve problems in pure mathematics. From an applied perspective, matrix theory was very much a ‘solution looking for a problem’. As so often happens ‘problems’ did arise which needed the nascent theory. An early application occurred in the 1920s when Werner Heisenberg investigated ‘matrix mechanics’, a part of quantum theory. Another pioneer was Olga Taussky-Todd, who worked for a period in aircraft design and used matrix algebra. When asked how she discovered the subject she replied that it was the other way around, matrix theory had found her. Such is the mathematical game.
the condensed idea
Combining blocks of numbers

الاكثر قراءة في هل تعلم
اخر الاخبار
اخبار العتبة العباسية المقدسة
الآخبار الصحية

قسم الشؤون الفكرية يصدر كتاباً يوثق تاريخ السدانة في العتبة العباسية المقدسة
"المهمة".. إصدار قصصي يوثّق القصص الفائزة في مسابقة فتوى الدفاع المقدسة للقصة القصيرة
(نوافذ).. إصدار أدبي يوثق القصص الفائزة في مسابقة الإمام العسكري (عليه السلام)