( التجربة رقم 2 )
المؤلف:
م.مسعود فرج ابو ستة
المصدر:
تجارب في الكيمياء التحليلية (التحليل الكمي الحجمي والوزني )
الجزء والصفحة:
ص 72
25-12-2015
1053
( التجربة رقم 2 ) معایرة محلول حمض H2SO4 مجهول التركیز باستخدام محلول قیاسي من هیدروكسید البوتاسیوم
معایرة محلول حمض H2SO4 مجهول التركیز باستخدام محلول قیاسي من هیدروكسید البوتاسیوم تركیزه 7500) میكرومكافي/ 50 مل) .
الهدف من التجربة:
حساب عیاریة حمض الكبریتیك من ثم حساب التركیز بالمیكروجرام/ 5مل وبالملجرام/ 50 مل بأستخدام المیثیل البرتقالي
معادلة التفاعل H2SO4+2KOH ⟶ K2SO4+2H2O
المواد والأدوات المطلوبة:
- محلول حمض الكبریتیك مجهول التركیز
- محلول قیاسي محلول قیاسي من هیدروكسید البوتاسیوم تركیزه 7500) میكرومكافي/ 50 مل) .
- دلیل المیثیل البرتقالي أو الفینول نفثالین.
خطوات التجربة :
- اغسل أدوات المعایرة الزجاجیة بالماء العادي ثم الماء المقطر ،و یتم غسل السحاحة بكمیة قلیلة من محلول حمض الكبریتیك المستعمل في المعایرة ، ثم إملاء السحاحة بالمحلول حتى علامة الصفر مع ملاحظ عدم وجود فقاعات هوائیة في السحاحة والتأكد من امتلاء الجزء السفلي) تحت الصنبور(
- خذ بالماصة 20 مل من محلول هیدروكسید البوتاسیوم القیاسي في دورق مخروطي ثم أضف إلیه قطرتین من دلیل المیثیل البرتقالي.
- إبدا عملیة المعایرة بتنقیط محلول الحمض قطرة قطرة،حتى یتغیر لون المحلول إلى اللون الأحمر(إي حتى الوصول إلى نقطة التكافؤ) وسجل الحجم المستهلك من السحاحة ولیكن حجم VA( حمض الكبریتیك )
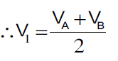
- كرر الخطوات السابقة بعد تنظیف الأدوات جیداً وعایر من جدید وسجل حجم حمض H2SO4 المستهلك من السحاحة ولیكن VB.
یتم أخد متوسط الحجم
