Isothermal reversible expansion
المؤلف:
Peter Atkins، Julio de Paula
المصدر:
ATKINS PHYSICAL CHEMISTRY
الجزء والصفحة:
ص36-37
2025-11-02
202
Isothermal reversible expansion
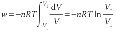
Consider the isothermal, reversible expansion of a perfect gas. The expansion is made isothermal by keeping the system in thermal contact with its surroundings (which may be a constant-temperature bath). Because the equation of state is pV = nRT, we know that at each stage p = nRT/V, with V the volume at that stage of the expansion. The temperature T is constant in an isothermal expansion, so (together with n and R) it may be taken outside the integral. It follows that the work of reversible isothermal expansion of a perfect gas from Vi to Vf at a temperature T is

When the final volume is greater than the initial volume, as in an expansion, the logarithm in eqn 2.11 is positive and hence w < 0. In this case, the system has done work on the surroundings and the internal energy of the system has decreased as a result.2 The equations also show that more work is done for a given change of volume when the temperature is increased. The greater pressure of the confined gas then needs a higher opposing pressure to ensure reversibility. We can express the result of the calculation as an indicator diagram, for the magnitude of the work done is equal to the area under the isotherm p = nRT/V (Fig. 2.8). Superimposed on the diagram is the rectangular area obtained for irreversible expansion against constant external pressure fixed at the same final value as that reached in the reversible expansion. More work is obtained when the expansion is reversible (the area is greater) because matching the external pressure to the internal pressure at each stage of the process ensures that none of the system’s pushing power is wasted. We cannot obtain more work than for the reversible process because increasing the external pressure even infinitesimally at any stage results in compression. We may infer from this discussion that, because some pushing power is wasted when p > pex, the maxi mum work available from a system operating between specified initial and final states and passing along a specified path is obtained when the change takes place reversibly. We have introduced the connection between reversibility and maximum work for the special case of a perfect gas undergoing expansion. Later (in Section 3.5) we shall see that it applies to all substances and to all kinds of work.


Fig. 2.8 The work done by a perfect gas when it expands reversibly and isothermally is equal to the area under the isotherm p = nRT/V. The work done during the irreversible expansion against the same final pressure is equal to the rectangular area shown slightly darker. Note that the reversible work is greater than the irreversible work.
الاكثر قراءة في مواضيع عامة في الكيمياء الفيزيائية
اخر الاخبار
اخبار العتبة العباسية المقدسة