The features of the equation
المؤلف:
Peter Atkins، Julio de Paula
المصدر:
ATKINS PHYSICAL CHEMISTRY
الجزء والصفحة:
ص20-21
2025-10-30
210
The features of the equation
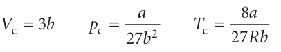
The principal features of the van der Waals equation can be summarized as follows. (1) Perfect gas isotherms are obtained at high temperatures and large molar volumes. When the temperature is high, RT may be so large that the first term in eqn 1.21b greatly exceeds the second. Furthermore, if the molar volume is large in the sense Vm >> b, then the denominator Vm − b ≈ Vm. Under these conditions, the equation reduces to p = RT/Vm, the perfect gas equation. (2) Liquids and gases coexist when cohesive and dispersing effects are in balance. The van der Waals loops occur when both terms in eqn 1.21b have similar magnitudes. The first term arises from the kinetic energy of the molecules and their repulsive interactions; the second represents the effect of the attractive interactions. (3) The critical constants are related to the van der Waals coefficients. For T<Tc, the calculated isotherms oscillate, and each one passes through a mini mum followed by a maximum. These extrema converge as T→Tc and coincide at T=Tc; at the critical point the curve has a flat inflexion (4). From the properties of curves, we know that an inflexion of this type occurs when both the first and second derivatives are zero. Hence, we can find the critical constants by calculating these derivatives and setting them equal to zero:

at the critical point. The solutions of these two equations (and using eqn 1.21b to calculate pc from Vc and Tc) are

These relations provide an alternative route to the determination of a and b from the values of the critical constants. They can be tested by noting that the critical com pression factor, Zc, is predicted to be equal to

for all gases. We see from Table 1.5 that, although Zc<
=0.375 , it is approximately constant (at 0.3) and the discrepancy is reasonably small.
الاكثر قراءة في مواضيع عامة في الكيمياء الفيزيائية
اخر الاخبار
اخبار العتبة العباسية المقدسة