Specific Surface Energy and Surface Stress
المؤلف:
C. Br´ echignac P. Houdy M. Lahmani
المصدر:
Nanomaterials and Nanochemistry
الجزء والصفحة:
p4
2-12-2015
1348
Specific Surface Energy and Surface Stress
The specific surface energy γ (J/m2) can be represented as the energy produced by cleaving a crystal divided by the surface area thereby created. More generally, the specific surface energy can be defined as follows. In order to increase the surface area of an object by an amount dA, e.g., by changing the shape of the object, the work required to do this will be
dW = γdA . γ is the specific surface energy.
In this case, the area of the object has increased by displacing atoms from the bulk to the surface. However, one could also increase the area by stretching it, i.e., keeping the number of surface atoms constant. The work required to do this will then be
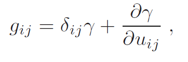
dW = gijdA , where gij is the surface stress in J/m2.
This is a tensorial quantity because it depends on the crystallographic axes. The surface stress is related to the elastic stresses resulting from deformation of the surface (strain). It is related to the specific surface energy by

where uij is the strain tensor and δij the Kronecker symbol.
Note that for a liquid there is no strain tensor and gij = γ. Indeed, if one tries to increase the surface area of a liquid, the bulk atoms will move to the surface to keep the density constant. The surface stress reduces to the specific surface energy.
الاكثر قراءة في كيمياء النانو
اخر الاخبار
اخبار العتبة العباسية المقدسة