السلوك الكهروبصري لأغشية (PDLC)
المؤلف:
أ.د. نعيمة عبد القادر أحمد / أ.د. محمد أمين سلمان
المصدر:
علم البلورات والاشعة السينية
الجزء والصفحة:
ص462 –464
2023-10-12
1829
يتخذ الموجه في قطيرات البلورات السائلة اتجاهات عشوائية عندما لا يكون هناك مجال كهربائي؛ ولذلك يتشتت الضوء الساقط بشدة (شكل 15-17 أ). أما إذا طبق مجال كهربائي فإن الموجهات تأخذ اتجاه المجال الكهربائي بسبب الازدواج العزلي، وعندئذ يتوافق معامل انكسار البوليمر مع معامل الانكسار الاعتيادي للبلورة السائلة؛ ويصير غشاء PDLC شفافا الشكل (15-17 ب). فإذا لم يكن هناك مستقطب فإن مدى نفاذ المرئيات من خلال الغشاء ليصبح محكوما بالقليل من الامتصاص والانعكاس الداخلي للزجاج أو الطبقات البلاستيكية التحتية؛ وعندئذ لا يصبح مهما أن تكون فجوة الخلية منتظمة تماما كما لا تكون هناك ضرورة للطبقة الموجهة.
ومن المؤكد أن حالة الشفافية التامة في وجود مجال كهربائي، هي تلك التي تتحقق عندما يسقط الضوء عموديا فقط على الخلية؛ لأن سقوط الضوء بزاوية ما، يجعل عدم التوافق بين معاملي انكسار قطيرات البلورات السائلة والبوليمر، سببا في التشتت الملحوظ للضوء. ويزداد هذا التشتت كلما زادت زاوية سقوط الضوء.
ومن الممكن جعل زاوية الرؤية أعرض إذا لجأنا إلى استعمال بلورات سائلة بوليمرية ذات سلسلة جانبية تحتوي على مجموعات كيميائية لها نفس معامل انكسار البلورة السائلة ذات الوزن الجزيئي المنخفض في القطيرات النيماتية (الشكل 15-17 جـ). وفي حالة الشفافية فإن معاملي انكسار المجموعات البلورات السائلة في السلسلة الجانبية وقطيرات البلورة السائلة تتوافق في جميع الاتجاهات. أما في حالة الإعتام – والتي تنشأ نتيجة انعدام الانتظام في البلورة السائلة بالقطيرات – فإن حالة التشتت هي التي تصبح سائدة.
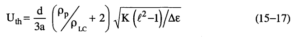
ولحساب الجهد الكهربائي Uth اللازم لتغيير وضع الموجه في القطيرات والذي من شأنه إحداث تغيير في مقدار النفاذية نطبق المعادلة التالية:

حيث d هو سمك الطبقة، a/b =l ، a، b هما محورا القطيرة التي على شكل مجسم قطع ناقص K هو معامل المرونة المتوسط. وrP، ρLC هما مقاومتا البوليمر والبلورة السائلة النوعيتان على الترتيب.
ويلاحظ أن المقدار
هو الذي يعبر عن الفرق بين المجال المطبق على الخلية وقيمته الفعالة المؤثرة على القطيرة. وتعتمد قيمة هذا المقدار على المقاومة النوعية لكل من البوليمر pρ والقطيرة LCρ وكذلك على تردد المجال وثابت العزل لكل من البلورة السائلة والبوليمر عند الترددات المرتفعة.
ويمكن لأغشية PDLC أن تنافس تطبيقات المواد النيماتية التقليدية في مجال الخواص الكهروبصرية وذلك من حيث سهولة إنتاجها ولكونها لا تحتاج إلى مستقطب، ولقدرتها على تحمل الاهتزازات والضغوط دون حدوث تشوهات.
الاكثر قراءة في مواضيع عامة في الفيزياء الصلبة
اخر الاخبار
اخبار العتبة العباسية المقدسة