
الادارة الهندسية

الانشاءات

الطرق والمواصلات

الموارد المائية

هندسة الجيوتكنك
نماذج اختيار المشروع - النماذج الكمية – نموذج فترة الاسترداد بسعر الخصم
المؤلف:
الدكتور موسى احمد خير الدين
المصدر:
ادارة المشاريع المعاصرة
الجزء والصفحة:
ص 58 - 62 الفصل الثاني
2023-05-22
2596
نموذج فترة الاسترداد Discounted Pay Back Period
ويعالج هذا النموذج واحدة من أهم عيوب النموذج السابق، وذلك بأخذه للقيمة الزمنية للنقود بعين الاعتبار عن طريق حساب قيمتها الحالية بإخضاعها لسعر الخصم، وذلك بإتباع الخطوات التالية:
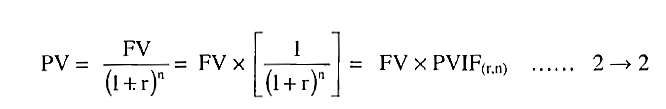
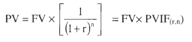
• يتم حساب القيمة الحالية (Present Value (PV للتدفقات النقدية المستقبلية (Future Value (FV محسوبة على أساس سعر الخصم (r) وبعدد فترات (n) وذلك باستخدام القانون الرياضي التالي:

ولتسهيل حل المعادلة نقوم ابتداء بحساب معامل الخصم Discount Index وهو جزء من المعادلة 22 ويعتمد على معرفة كل من (r) و (n) ويحسب بالقانون التالي:

وعليه يمكن إعادة كتابة المعادلة 2 بالصيغة التالية:

ويتم حساب هذا المعامل إما باستخدام الآلة الحاسبة لحل المعادلة 3-2 أو عن طريق استخدام الجدول المالي الخاص باستخراج معامل القيمة الحالية للتدفقات النقدية (Present Value index (PVIF بعد تحديد كل من n,r. الجدول مرفق في نهاية هذا الفصل.
. بعد احتساب معامل الخصم واحتساب القيمة الحالية (PV) للتدفقات النقدية المستقبلية المحسوبة على أساس سعر الخصم يتم استخراج فترة الاسترداد بنفس الطريقة المشروحة بنموذج فترة الاسترداد البسيطة.
مثال 2-3
بالرجوع لنفس المثال السابق 2-2، حيث الاستثمار الأساسي يساوي 100 ألف دولار والتدفق النقدي السنوي يساوي 25 ألف دولار، ولكن مع الأخذ بعين الإعتبار أن سعر الخصم = 10% وأن عمر المشروع = 6 سنوات.
المطلوب: احسب فترة الاسترداد للمبلغ الأساسي المدفوع؟
الحل:
• نقوم أولاً باحتساب معامل الخصم (PVIF) باستخدام المعادلة 3 ــــ 2 :

وهكذا، تجد بقية النتائج في جدول الحل 2-3
• نقوم ثانياً باحتساب القيمة الحالية للتدفقات النقدية المستقبلية (PV) باستخدام المعادلة 2ـــ2 على النحو التالي:

وباستخدام هذه المعادلة يكون:

وهكذا تجد بقية النتائج في جدول الحل 2-3.


ثم نقوم بقسمة هذا المبلغ على التدفق المخصوم للسنة اللاحقة 14.100 ألف دولار لمعرفة في أي جزء من السنة السادسة يتم استرداد المبلغ بالضبط
14.100 /5.250=0.372
إذن فترة الاسترداد مع سعر الخصم = 5.372 سنة ويلاحظ هنا أن إخضاع التدفقات النقدية الواردة إلى القيمة الزمنية للنقود أطال من فترة استرداد مبلغ الاستثمار الأساسي.
الاكثر قراءة في الادارة الهندسية
اخر الاخبار
اخبار العتبة العباسية المقدسة
الآخبار الصحية

قسم الشؤون الفكرية يصدر كتاباً يوثق تاريخ السدانة في العتبة العباسية المقدسة
"المهمة".. إصدار قصصي يوثّق القصص الفائزة في مسابقة فتوى الدفاع المقدسة للقصة القصيرة
(نوافذ).. إصدار أدبي يوثق القصص الفائزة في مسابقة الإمام العسكري (عليه السلام)