
تاريخ الفيزياء

علماء الفيزياء


الفيزياء الكلاسيكية

الميكانيك

الديناميكا الحرارية


الكهربائية والمغناطيسية

الكهربائية

المغناطيسية

الكهرومغناطيسية


علم البصريات

تاريخ علم البصريات

الضوء

مواضيع عامة في علم البصريات

الصوت


الفيزياء الحديثة


النظرية النسبية

النظرية النسبية الخاصة

النظرية النسبية العامة

مواضيع عامة في النظرية النسبية

ميكانيكا الكم

الفيزياء الذرية

الفيزياء الجزيئية


الفيزياء النووية

مواضيع عامة في الفيزياء النووية

النشاط الاشعاعي


فيزياء الحالة الصلبة

الموصلات

أشباه الموصلات

العوازل

مواضيع عامة في الفيزياء الصلبة

فيزياء الجوامد


الليزر

أنواع الليزر

بعض تطبيقات الليزر

مواضيع عامة في الليزر


علم الفلك

تاريخ وعلماء علم الفلك

الثقوب السوداء


المجموعة الشمسية

الشمس

كوكب عطارد

كوكب الزهرة

كوكب الأرض

كوكب المريخ

كوكب المشتري

كوكب زحل

كوكب أورانوس

كوكب نبتون

كوكب بلوتو

القمر

كواكب ومواضيع اخرى

مواضيع عامة في علم الفلك

النجوم

البلازما

الألكترونيات

خواص المادة


الطاقة البديلة

الطاقة الشمسية

مواضيع عامة في الطاقة البديلة

المد والجزر

فيزياء الجسيمات


الفيزياء والعلوم الأخرى

الفيزياء الكيميائية

الفيزياء الرياضية

الفيزياء الحيوية

الفيزياء العامة


مواضيع عامة في الفيزياء

تجارب فيزيائية

مصطلحات وتعاريف فيزيائية

وحدات القياس الفيزيائية

طرائف الفيزياء

مواضيع اخرى
الإضطراب W المعتمد على الحقل المغناطيسي
المؤلف:
الدكتور محمد انور بطل
المصدر:
الفيزياء الذرية والجزيئية
الجزء والصفحة:
ص 196
7-2-2022
2097
الإضطراب W المعتمد على الحقل المغناطيسي
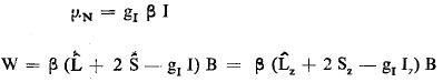
بأخذ بعين الإعتبار الإرتباط بين العزم المغناطيسي النووي μN والحقل المغناطيسي فإن :

لكن:

الإشارة (-) أمام g1 ناتجة عن التسمية المحددة في الفقرة السابقة .
في الارتباط L —S حيث (T1>T2) ، فإن الحد و يؤدي إلى انزياح في الطاقة أصغر بكثير من الحد T2. حسب شدة الحقل المغناطيسي المطبق يجب أن نميز الحالات التالية :
T1>T2>T3>W (aستعتبر W كإضطراب نطبقه على حلول الهاملتونيان :

في هذه الحالة نكون ضمن حقول مغناطيسية ضعيفة جداً.
T1>T2>W>T3 (b يطبق الإضطراب على Ho +T1+T2 ثم على الحاصل بتطبيق الإضطراب T3 في هذه الحالة نكون ضمن شروط فك الإرتباط IJ أو يسمى مفعول باك غودسمت Back - Godsmit .
T1>W>T2>T3 (c في هذه الحالة فإن مفعول باشن باك يجب أن يكمل تصحيحات تترجم T3.
الاكثر قراءة في الفيزياء الذرية
اخر الاخبار
اخبار العتبة العباسية المقدسة
الآخبار الصحية

قسم الشؤون الفكرية يصدر كتاباً يوثق تاريخ السدانة في العتبة العباسية المقدسة
"المهمة".. إصدار قصصي يوثّق القصص الفائزة في مسابقة فتوى الدفاع المقدسة للقصة القصيرة
(نوافذ).. إصدار أدبي يوثق القصص الفائزة في مسابقة الإمام العسكري (عليه السلام)