النمط الأول
النمط الثاني
الرئيسية
الأخبار
صور
فيديو
صوت
أقلام
مفتاح
رشفات
المشكاة
منشور
اضاءات
ثقف
قصص
علم الفيزياء
تاريخ الفيزياء
علماء الفيزياء
الفيزياء الكلاسيكية
الميكانيك
الديناميكا الحرارية
الكهربائية والمغناطيسية
الكهربائية
المغناطيسية
الكهرومغناطيسية
علم البصريات
تاريخ علم البصريات
الضوء
مواضيع عامة في علم البصريات
الصوت
الفيزياء الحديثة
النظرية النسبية
النظرية النسبية الخاصة
النظرية النسبية العامة
مواضيع عامة في النظرية النسبية
ميكانيكا الكم
الفيزياء الذرية
الفيزياء الجزيئية
الفيزياء النووية
مواضيع عامة في الفيزياء النووية
النشاط الاشعاعي
فيزياء الحالة الصلبة
الموصلات
أشباه الموصلات
العوازل
مواضيع عامة في الفيزياء الصلبة
فيزياء الجوامد
الليزر
أنواع الليزر
بعض تطبيقات الليزر
مواضيع عامة في الليزر
علم الفلك
تاريخ وعلماء علم الفلك
الثقوب السوداء
المجموعة الشمسية
الشمس
كوكب عطارد
كوكب الزهرة
كوكب الأرض
كوكب المريخ
كوكب المشتري
كوكب زحل
كوكب أورانوس
كوكب نبتون
كوكب بلوتو
القمر
كواكب ومواضيع اخرى
مواضيع عامة في علم الفلك
النجوم
البلازما
الألكترونيات
خواص المادة
الطاقة البديلة
الطاقة الشمسية
مواضيع عامة في الطاقة البديلة
المد والجزر
فيزياء الجسيمات
الفيزياء والعلوم الأخرى
الفيزياء الكيميائية
الفيزياء الرياضية
الفيزياء الحيوية
الفيزياء العامة
مواضيع عامة في الفيزياء
تجارب فيزيائية
مصطلحات وتعاريف فيزيائية
وحدات القياس الفيزيائية
طرائف الفيزياء
مواضيع اخرى
حساب عامل لانده g
المؤلف: الدكتور محمد انور بطل
المصدر: الفيزياء الذرية والجزيئية
الجزء والصفحة: ص 150
6-2-2022
2130
+
-
20
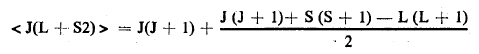
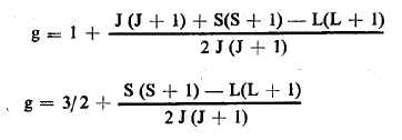
لدينا :
لإيجاد g نأخذ المؤثر:
لكن:
إذاً:
ضمن التمثيل <L2,SJm| إن القيمة المتوسطة ل (L+2S) J هي:
........(1)
لدينا:
........(2)
بمطابقة (1) و(2) نجد قيمة g.
مستويات طاقة الهيدروجين
التاريخ الحديث للذرات
الأعداد الكمية ومبدأ بأولى للاستبعاد
إسهامات الفيزياء الذرية
النظرية الموجية للذرة
طيف الهيدروجين
الفا – بيتا – كاما
العزم الحركي والعزم المغناطيسي للأنوية
ذرة الهيدروجين شبه الكلاسيكية
الذرات والجزيئات Atoms and Molecules
طيوف الاصدار والامتصاص
أشعة إكس (السينية) واطياف الذرات عديدة الإلكترونات
نظرية رايلي – جينز الكلاسيكية
الأرقام الذرية وتركيب الذرة
امتصاص الأشعة السينية
العتبة العباسية المقدسة تقيم حفل سن التكليف الشرعي لـ 2000 فتاة في باكستان
جامعة العميد تعقد اجتماعًا لمناقشة آليّات نظام أتمتة عمل إدارة الجامعات الوزاري
العتبة العباسية المقدسة تحيي ذكرى ولادة السيدة الزهراء (عليها السلام) في مجمع سيد الماء التربوي
المجمع العلميّ يواصل برنامجه التطويريّ الخاص بإعداد المبلّغين
أكثر من مجرد سعرات حرارية!.. كيف تحول الوجبات السريعة الجسم إلى بيئة ملتهبة؟
عقار من شركة "فايزر" يبطئ تطور سرطان الثدي
دراسة تزيح الستار عن "العدو الخفي" لصحة القلب
دراسة تكشف أثرا جانبيا غير متوقع لدواء سكري شهير
كشف مذهل في قاع "برمودا" !
تأثير العوامل اليومية على تكوين العادات
استمر 7 ساعات.. انفجار غريب في أعماق الفضاء يحير العلماء
حقيقة أم خيال.. هل الجزر يقوي النظر؟
اشترك بقناتنا على التلجرام ليصلك كل ما هو جديد