
تاريخ الفيزياء

علماء الفيزياء


الفيزياء الكلاسيكية

الميكانيك

الديناميكا الحرارية


الكهربائية والمغناطيسية

الكهربائية

المغناطيسية

الكهرومغناطيسية


علم البصريات

تاريخ علم البصريات

الضوء

مواضيع عامة في علم البصريات

الصوت


الفيزياء الحديثة


النظرية النسبية

النظرية النسبية الخاصة

النظرية النسبية العامة

مواضيع عامة في النظرية النسبية

ميكانيكا الكم

الفيزياء الذرية

الفيزياء الجزيئية


الفيزياء النووية

مواضيع عامة في الفيزياء النووية

النشاط الاشعاعي


فيزياء الحالة الصلبة

الموصلات

أشباه الموصلات

العوازل

مواضيع عامة في الفيزياء الصلبة

فيزياء الجوامد


الليزر

أنواع الليزر

بعض تطبيقات الليزر

مواضيع عامة في الليزر


علم الفلك

تاريخ وعلماء علم الفلك

الثقوب السوداء


المجموعة الشمسية

الشمس

كوكب عطارد

كوكب الزهرة

كوكب الأرض

كوكب المريخ

كوكب المشتري

كوكب زحل

كوكب أورانوس

كوكب نبتون

كوكب بلوتو

القمر

كواكب ومواضيع اخرى

مواضيع عامة في علم الفلك

النجوم

البلازما

الألكترونيات

خواص المادة


الطاقة البديلة

الطاقة الشمسية

مواضيع عامة في الطاقة البديلة

المد والجزر

فيزياء الجسيمات


الفيزياء والعلوم الأخرى

الفيزياء الكيميائية

الفيزياء الرياضية

الفيزياء الحيوية

الفيزياء العامة


مواضيع عامة في الفيزياء

تجارب فيزيائية

مصطلحات وتعاريف فيزيائية

وحدات القياس الفيزيائية

طرائف الفيزياء

مواضيع اخرى
العدد الأعظمي للإلكترونات المتعلقة بطبقة أو بطبقة جزئية
المؤلف:
الدكتور محمد انور بطل
المصدر:
الفيزياء الذرية والجزيئية
الجزء والصفحة:
ص 49
30-1-2022
2212
العدد الأعظمي للإلكترونات المتعلقة بطبقة أو بطبقة جزئية
a) حالة طبقة جزئية:
لنبحث عن العدد الأعظمي للالكترونات التي تملك في نفس الوقت نفس قيم n وl، هذه الإلكترونات يجب أن تختلف إما بقيم ml (التي تأخذ 1 + 2l قيمة حيث l < m < l — ) وإما بواسطة ms (يمكنها أن تأخذ قيمتين +1/2 و -1/2) يوجد إذاً (1 + 2l)2 حالة كوانتية مميزة مطابقة لنفس قيم n و l ويمكنها أن تملك (1+ 2l) 2 إلكترون على المدار الجزئي ذو العدد الكوانتي l.

b) حالة الطبقة (المدار):
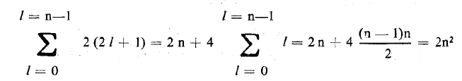
لنحدد الآن العدد الأعظمي للإلكترونات يمكنها ان نملك نفس n لكن اذات أعداد كوانتية مختلفة ms, ml, l ، نعلم l ≤ n-1.
باستخدام النتائج السابقة يتوجب علينا عمل لجمع للأعداد الأعظمية للإلكترونات لكل مدار جزبي الكترونات مع

التي بمكن أن تكتب:


عندما يمتلك المدار ( الطبقة ) العدد الأعظمي من الإلكترونات يقال عنها أنها طبقة كاملة .
الاكثر قراءة في الفيزياء الذرية
اخر الاخبار
اخبار العتبة العباسية المقدسة
الآخبار الصحية

قسم الشؤون الفكرية يصدر كتاباً يوثق تاريخ السدانة في العتبة العباسية المقدسة
"المهمة".. إصدار قصصي يوثّق القصص الفائزة في مسابقة فتوى الدفاع المقدسة للقصة القصيرة
(نوافذ).. إصدار أدبي يوثق القصص الفائزة في مسابقة الإمام العسكري (عليه السلام)